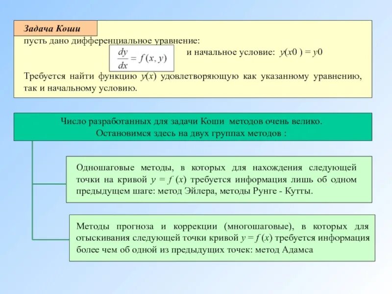
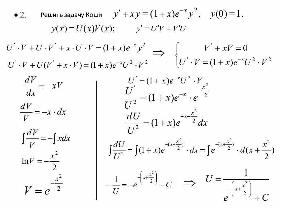
Метод эйлера для решения задачи коши. численное решение задачи коши методом эйлера. расчетная формула метода эйлера. метод эйлера коши алгоритм.Калькулятор задач кошиЗадача коши для дифференциального уравнения. задача коши для диф урав 2 порядка. задача коши для дифференциального уравнения первого порядка. задача коши для дифур 2го порядка.Задача коши. уравнение коши. задача коши примеры решения. задача коши для дифференциального уравнения.Задача коши. решение задачи коши. решение уравнения коши. задача коши примеры решения.Калькулятор задач кошиКалькулятор задач кошиКалькулятор задач кошиКалькулятор задач кошиКалькулятор задач кошиКалькулятор задач кошиМетод коши. метод коши решения дифференциальных уравнений. методы решения задачи коши. метод эйлера-коши для решения дифференциальных уравнений.Калькулятор задач кошиКалькулятор задач кошиРешение задачи коши. задача коши примеры решения. решить задачу коши задачи. найдите решение задачи коши.Калькулятор задач кошиКалькулятор задач кошиРешение задачи коши. задача коши примеры. найти решение задачи коши. решение уравнения коши.Уравнение коши примеры. решение задачи коши. задача коши примеры решения. начальные условия задачи коши.Решение задачи коши для дифференциального уравнения. метод коши решения дифференциальных уравнений. задача коши примеры решения. метод решения задачи коши.Задача коши для ду 1-го порядка. аналитическое решение задачи коши. задача коги. общий вид задачи коши.Задача коши дифференциальные уравнения примеры. решение задачи коши для уравнения. задача коши примеры решения. уравнение коши примеры.Калькулятор задач кошиРешение задачи коши. задача коши примеры решения. найдите решение задачи коши. решить задачу коши для уравнения.Интегральная кривая задачи коши. решение, интегральные кривые, задача коши для уравнения 1-го порядка. задача коши для дифур 1го порядка. задача коши для дифференциального уравнения 1-го порядка.Калькулятор задач кошиРешение уравнения коши. задача коши дифференциальные уравнения примеры. решение задачи коши для дифференциального уравнения. 3. найти решение задачи коши.Калькулятор задач кошиРешение задачи коши методом рунге кутта. метод эйлера для решения задачи коши. численное решение задачи коши методом эйлера. численное решение задачи коши методом рунге кутта.Решение задачи коши. задача коши примеры. решить задачу коши примеры. уравнение коши примеры.Калькулятор задач кошиКалькулятор задач кошиКалькулятор задач кошиДифференциальные уравнения задачи коши калькулятор. как найти решение задачи коши. решение задачи коши y''=x^2+2. 3. найти решение задачи коши.Калькулятор задач кошиИнтегральные кривые задача коши. интегральная кривая задачи коши. решение, интегральные кривые, задача коши для уравнения 1-го порядка. задача коши для дифференциального уравнения 1-го порядка.Метод адамса решения дифференциальных уравнений. метод адамса численные методы. задача коши метод адамса. одношаговые и многошаговые методы решения задачи коши.Решение задачи коши методом неопределенных коэффициентов. общее решение дифференциального уравнения алгоритм решения. метод коши решения дифференциальных уравнений.Задача коги. задача коши. формулировка задачи коши. уравнение коши.Решение уравнения методом коши. задача коши дифференциальные уравнения примеры. решение задач методом коши пример. решение задачи коши для дифференциального уравнения первого порядка.Задача коши (x^2 - 1 * y). решение задачи коши методом неопределенных коэффициентов. решить дифференциальное уравнение и найти решение задачи коши. найти решение задачи кош.Общее и частное решение задача коши. частное решение задачи коши. задача коши общее и частное решение дифференциального уравнения. решение задачи коши y'.Калькулятор задач кошиУравнение коши. задача коши примеры. уравнение коши примеры. решить задачу коши примеры решений.Решение дифференциальных уравнений методом фурье. решение систему диф уравнений операционным методом. операционный метод решения дифференциальных уравнений. операционный метод решения задачи коши.Задача коши для уравнений высших порядков. ду высшего порядка теорема коши. ду n порядка. ду высших порядков.Теорема существования решения задачи коши. теорема существования и единственности решения задачи коши. теорема о единственности решения задачи коши. теорема коши о существовании и единственности решения задачи коши.Задача коши для дифференциального уравнения 1-го порядка. численное решение дифференциальных уравнений второго порядка. задача коши для дифференциального уравнения 2 порядка. задача коши для дифференциального уравнения 1 порядка имеет вид:.Калькулятор задач кошиКалькулятор задач кошиКалькулятор задач кошиРешение задачи коши. общее решение задачи коши. задача коши для дифференциального уравнения. частное решение задачи коши.Операционный метод решения задачи коши. найти решение задачи коши операционным методом. операционным методом решить задачу коши. найти изображение функции.Калькулятор задач кошиМетод эйлера для решения задачи коши. расчетная формула метода эйлера. метод эйлера коши алгоритм. численное интегрирование метод эйлера.Найдите действительную и мнимую части функции. действительная и мнимая часть функции. условие коши римана. условие коши римана для функции.Калькулятор задач кошиКалькулятор задач кошиКалькулятор задач кошиКалькулятор задач кошиКалькулятор задач кошиЗадача коши для уравнения 7 порядка. задача коши онлайн калькулятор. задача коши для уравнения 7 порядка содержит условие.Калькулятор задач кошиКалькулятор задач кошиОпишите решение задачи коши методом рунге-кутта. численное решение задачи коши методом рунге кутта. решения уравнений методом рунге кутта. метод рунге кутта для решения дифференциальных уравнений.Решение задачи коши y''=x^2+2. найдите решение задачи коши. решение задачи коши уравнения бернулли в маткаде. решение задачи коши y'.