Удиви меня
Индекс групповой сплоченности
Определение индекса групповой сплоченности. индекс групповой сплоченности сишора. индекс групповой сплоченности социометрия.
Индекс групповой сплоченности
Показатели групповой сплоченности. коэффициент групповой сплоченности. индекс групповой сплоченности социометрия.
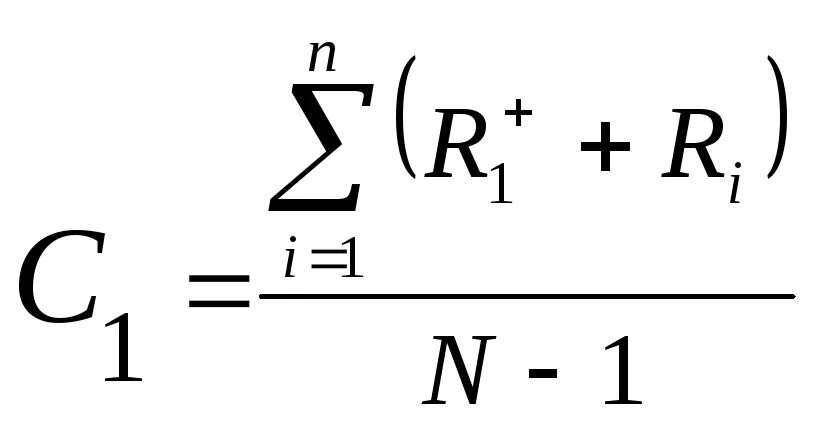
Индекс групповой сплоченности формула. проблема групповой сплоченности. индекс групповой сплоченности социометрия. проблемы сплоченности групп..
Индекс групповой сплоченности сишора. методика сишора для определения индекса групповой сплоченности. оценка групповой сплоченности.
Индекс групповой сплоченности социометрия. коэффициент групповой сплоченности. коэффициент групповой сплоченности социометрия. социометрия сплоченность группы.
Индекс групповой сплоченности
Индекс групповой сплоченности
Индекс сплоченности группы формула. индекс групповой сплоченности социометрия. коэффициент групповой сплоченности. индекс групповой сплоченности формула.
Индекс групповой сплоченности сишора методика. методика сишора для определения индекса групповой сплоченности. оценка групповой сплоченности. методики на групповую сплоченность.
Индекс групповой сплоченности сишора. методика определения групповой сплоченности. определение индекса групповой сплоченности. методика сишора.
Методы изучения сплоченности. показатели сплоченности группы. индекс групповой сплоченности сишора.
Определение индекса групповой сплоченности. индекс групповой сплоченности сишора. диагностика групповой сплоченности. тест сишора на групповую сплоченность.
Индекс сплоченности. индекс групповой сплоченности социометрия. уровень групповой сплоченности социометрия.
Индекс сплоченности группы формула. индекс групповой сплоченности формула. уровни сплоченности группы. уровни групповой сплоченности.
Индекс групповой сплоченности
Проблема групповой сплоченности. проблема круговой сплоченности. формула групповой сплоченности.
Индекс групповой сплоченности сишора. методика определения групповой сплоченности. определение индекса групповой сплоченности. методика сишора определения групповой сплоченности.
Определение индекса групповой сплоченности. индекс групповой сплоченности как считать. индекс групповой сплоченности сишора.
Определение индекса групповой сплоченности сишора. методика сишора для определения индекса групповой сплоченности. оценка групповой сплоченности. групповая сплоченность это определение.
Индекс групповой сплоченности
Индекс групповой сплоченности
Индекс групповой сплоченности
Индекс групповой сплоченности социометрия. индекс психологической взаимности в группе. индекс эмоциональной экспансивности. индекс положительного социометрического статуса.
Индекс групповой сплоченности
Индекс групповой сплоченности
Уровни групповой сплоченности. средний уровень групповой сплоченности. методика сишора. уровень сплоченности группы определяется.
Индекс групповой сплоченности
Индекс групповой сплоченности
Коэффициент сплоченности коллектива формула. индекс сплоченности группы формула. индекс групповой сплоченности формула. коэффициент групповой сплоченности.
Показатели сплоченности группы. уровни сплоченности группы. уровни групповой сплоченности. уровень сплоченности группы определяется.
Индекс групповой сплоченности
Коэффициент сплоченности группы социометрия. индекс групповой сплоченности социометрия. коэффициент сплоченности в социометрии формула. показатели групповой сплоченности.
Проблема групповой сплоченности. уровни групповой сплоченности. коэффициент групповой сплоченности. групповая сплоченность социометрия.
Примеры групповой сплоченности. показатели групповой сплоченности. пример сплоченности. отметьте показатели групповой сплоченности:.
Индекс групповой сплоченности
Индекс сплоченности группы формула. индекс эмоциональной экспансивности в социометрии. индекс групповой сплоченности социометрия формула. индекс экспансивности группы формула.
Индекс групповой сплоченности
Индекс групповой сплоченности социометрия интерпретация. индекс связности группы. индекс социометрического статуса.
Индекс групповой сплоченности социометрия. индекс эмоциональной экспансивности группы. индекс групповой сплоченности социометрия норма. индекс групповой сплоченности социометрия формула.