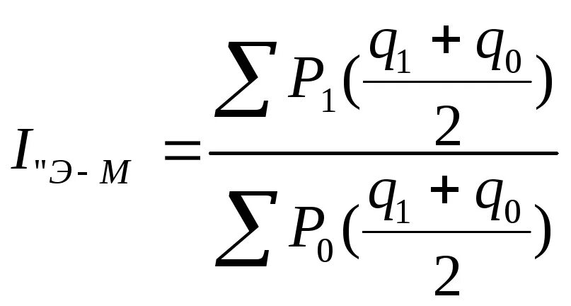
Индикатор нагрузки шин таблица. таблица индекса нагрузки и скорости автошин. маркировка шин по скорости и нагрузке. индекс грузоподъемности шин таблица.Индекс массы нагрузки шин расшифровка. индекс нагрузки и скорости шин расшифровка. расшифровка шины на автомобиль таблица индекс скорости. индекс массы и скорости на шине автомобиля.Таблица скорости шин мотоцикла. индекс нагрузки шин мото. индекс скорости на мото резине. индекс скорости и нагрузки мотошин.Индекс 412126/124m индекс нагрузки. индекс скорости на грузовых шинах таблица расшифровка. расшифровка индекса нагрузки. индекс нагрузки: 101 индекс скорости: v.Почтовый индекс лондона. индексв в лондоне. лондон индекс почтовый пример. почтовый индекс великобритании лондон.Индекс 412Индекс скорости и нагрузки мотошин. таблица обозначения маркировки шин. индекс нагрузки автошин таблица. индекс скорости шин мотоцикла расшифровка.Маркировка индекса скорости на автомобильных покрышках. расшифровка индекс нагрузки резины колес автомобильных. индекс нагрузки 104т шин. индекс нагрузки и скорости 91h.Вес автошин таблица веса покрышек. таблица индексов массы автошин. таблица индекса нагрузки на колесо автомобиля. индекс скорости грузовых шин таблица.Индекс нагрузки автошин таблица. индекс нагрузки шин таблица. таблица индекса скорости автомобильных шин. индекс нагрузки шин расшифровка.Индекс нагрузки шин таблица. таблица маркировки нагрузки шин. индекс нагрузки грузовых шин таблица. индекс нагрузки грузовых шин 160.Индекс максимальной нагрузки шины таблица. индекс нагрузки автошин таблица. резина индекс скорости и нагрузки таблица. таблица индекса скорости и нагрузки шин.Индекс 412Индекс потребительских настроений. индекс потребительских настроений 2025. индекс потребительских настроений как рассчитывается. потребительские настроения.Индекс нагрузки шин 107/105. индекс нагрузки шин 107. индекс нагрузки шин 106. индекс нагрузки шин 108т.Индекс эджворта-маршалла. формула эджворта маршалла. индекс цен маршалла эджворта. индекс маршала эджворта.Индекс 412Индекс 412Индекс менделеевска. список стран по индексу деловой активности.Индекс 412Формула эджворта маршалла. индекс эджворта-маршалла. индекс цен маршалла эджворта. индекс эджворта формула.Диаметр поршня москвич 412 1.5. поршень москвич 412 размеры. диаметр поршня москвич 412. размер поршневых колец москвич 412.Индекс почта. график работы почты. почта россии график. расписание почты россии.Индекс 412Часы наручные москвич. часы москвич 407. часы от москвича. часы в москвич 412.Индекс 412Индекс 412Индекс 412Индекс 412Индекс 412Индекс 412Мсб холдинг. индекс карновского. индекс либеральности.Таблица индекса скорости и нагрузки шин легкового автомобиля. индексы скорости на шинах расшифровка. расшифровка индекс нагрузки резины колес автомобильных. таблица индекса нагрузки автомобильных шин.Размер шеек коленвала москвич 412. поршень москвич 412 размеры. диаметр поршня москвич 401. размеры шеек коленчатого вала москвич 412.Иж 412 028. москвич 412 иж. иж москвич-412 иэ. москвич 412-028 иж.Индекс средней производительности переменного состава формула. индексы переменного постоянного состава и структурных сдвигов. индекс структурных сдвигов рассчитывается по формуле:. переменный индекс это.Индекс нагрузки шин таблица. индекс шимбачи таблица. индекс lvi таблица.Индекс 412Индекс 412Индекс 412Индекс производительности труда. индекс производительности труда рф. трудовой индекс производительности труда. индекс роста производительности труда.Индекс 412Индекс 412Что такое индекс. почтовый индекс сиднея. индекс 9. австралийские почтовые индексы.Индекс нагрузки и скорости шин расшифровка. индексы скорости шин таблица. индекс скорости и нагрузки на шинах таблица расшифровка. таблица индекса нагрузки и скорости автошин.Индекс 412Индекс скорости на покрышках таблица. таблица характеристик шин нагрузок. таблица индекса скорости резины шины. маркировка шины таблица скорости шин.Индекс нагрузки автошин таблица. индекс скорости и нагрузки шин на шине. таблица индекса скорости и нагрузки шин. индекс нагрузки грузовых шин таблица.Таблица грузоподъемности грузовых шин. индекс скорости грузовых шин таблица. индекс нагрузки 95 w. индексы скорости и нагрузки грузовых шин таблица.Индекс 412Индекс 412Индекс экономической свободы. индекс экономической свободы стран. рейтинг стран по индексу экономической свободы. индекс свободы экономики.Москвич 412 габариты кузова. колесная база москвич 412. москвич 412 иж чертежи. иж москвич 412 габариты.Почтовый индекс. индекс почтовый индекс. индекс почта. что такое индекс.Индекс 412Иж москвич 408. москвич 408 и 412. москвич 412 иж. иж 408 и иж 412.Индекс цен формула расчета. идекс потребительских цкнн. элекс потребительских цен. расчет индекса потребительских цен.