Удиви меня
H2so4 br2 изб
So2 br2 h2o электронный баланс. kbro получение. h2so3+br2+h2o метод полуреакций.
H2so4 разб + hbr. hbr h2so4 конц. hbr h2so4 br2 so2 h2o окислитель восстановитель. kbr h2so4 конц овр.
Циклопентан kmno4 h2so4. пропаналь h2. пропаналь kmno4. ch2=ch(ch3)-ch=ch2+kmno4+h2so4.
(nh4)2cro4. na2cr2o4. cr2so43 h2so4. 2nacro2.
Hi+h2so4. hbr h2so4 br2 so2 h2o окислитель восстановитель. h2o2 i2 окислительно-восстановительная реакция.
Окислительно-восстановительные реакции so2+br2+h2o. so2+br2+h2o овр. so2 br2 h2o h2so4 hbr электронный баланс. hbr+h2so4 овр.
Окислительно-восстановительные реакции so2+br2+h2o. h2 o2 h2o окислительно восстановительная реакция. овр-2-02. hbr+h2so4 br2+so2+h2o окислительно восстановительная.
H2so4 br2 изб
H2s kmno4. овр kmno4+k2s+h2o=mno2+koh+s. kmno4 + h2s + h2so4 = s +. kmno4 h2o2 h2so4 метод полуреакций.
H2so4 br2 изб
C2h4 h2so4. c2h4+o2 уравнение химической реакции. c2h4 kmno4 этиленгликоль. c2h6 h2so4 реакция.
H2so4 br2 изб
Nabr h2so4 конц. nabr h2so4 br2 h2o nahso4 so2 электронный баланс. nabr+h2so4 br2+so2+na2so4+h2o овр. nabr h2so4 br2 so2 na2so4 h2o электронный баланс.
Этанол x1 x2 ацетилен. этанол h2so4 180 x1 x2. этан x1 x2 br2. этанол x1.
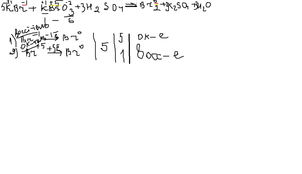
Обратная броматометрия. hbr kbro3 br2 kbr h2o овр. обратная броматометрия индикатор.
H2so4 br2 изб
Na2s2o3 h2so4. h2s so2 реакция =h2o+ s. na2s2o3 h2so4 метод полуреакций. na2s2o3 cl2 h2o.
N2h4 схема. br h2o реакция. h2o2 br2.
Бензол + н2. 1 2 диметилциклогексан kmno4 h2so4. нитробензойная кислота+kmno4+h2so4. 1 метил 2 пропилбензол kmno4 h2so4.
H2 o2 h2o электронный баланс. h2 s h2s метод электронного баланса. br2 kl h2o kio3 hbr. br2+ki+h2o kio3+hbr окислительно восстановительная.
H2 + o2 = 2h2o окислительно-восстановительная реакция. окислительно-восстановительные реакции so2+br2+h2o. hbr h2so4 br2 so2 h2o окислитель восстановитель. галогены реакции восстановления и окисления.
Br2 h2o. h2+ cl2. cl2 h2o на свету. hbro3 so2 h2o br2 h2so4.
H2so4 br2 изб
H2so4 br2 изб
K2cr2o7 hcl метод полуреакций. овр h2 + br2. k2cr2o7 na2so3 овр. k2cr2o7 h2so4.
H2so4 br2 изб
Этилат натрия. этилат натрия х1 k2cr2o7 h2so4. этаналь+ k2cr2o7+h2so4. этилат натрия x1 k2cr2o7.
H2so4 br2 изб
H2so4 br2 изб
Mno2 kbr h2so4. овр kbr mno2 h2so4 mnso4 br2 k2so4 h2o. mno2 h2so4 конц. mno2 hbr овр.
Br2+naoh овр. naoh br2 nabr nabro3. электронный баланс naoh и br. + br2 naoh изб.
C2h6 cr2o3 катализатор. cr + h2so3. ch2-ch2 h2 h2o h2so4. ch4 h2so4 конц.
H2so4 br2 изб
H2so4 br2 изб
K2mno4 na2so3. na2so3 so2 h2o. метод электронного баланса na+h2so4. h2s k2mno4 h2so4 овр.
Kbr kbro3 h2so4 br2 k2so4 h2o окислительно восстановительная реакция. kbr+kbro3+h2so4 br2+k2so4+h2o. br2 koh kbr kbro3 h2o электронный баланс. br koh kbro3 kbr h2o овр.
Na2s2o3 + br2 + naoh oбаланс электронный. naoh+br2-nabr+nabro3+h2o окислительно-восстановительные реакции. nabr h2so4 br2 so2 na2so4 h2o окислитель и восстановитель. so2 br2 h2o электронный баланс.
H2so4 br2 изб
Kmno4 kno2 h2so4 овр. al+br2 окислительно восстановительная реакция.
H2 br2 окислительно восстановительная. na+h2so4 окислительно восстановительная реакция. na+h2so4 окислительно восстановительная. nabr h2so4 овр.
H2so4 br2 изб
Fe3o4 h2 катализатор. na+h2so4 уравнение химической реакции. nacl+h2so4 уравнение реакции. алгоритм составления ионных реакций.
C2h4br2 c2h2.
H2so4 br2 изб
Nh3 h2o nh4cl. nh3+h2so4. (nh4)2so4. h2so4 nh3 nh4hso4.
Толуол 2br2. хлорбензол и азотная кислота. анилин h2so4. толуол br2.
H2so4 br2 изб
Kclo3 h2so4. h2so4 фото. kclo3-h2co3.
Пиридин hno3 h2so4. пиридин + h2. пиридин h2so4 0. 2 метилпиридин химические свойства.
C2h4 c2h5cl н-бутан br2 x1 koh x2 kmno4 x3. цепочки x1 ch3cl x2 x3. c2 h6 x2 ch3cl na t пропан. c2h4 катализатор c6h5c2h5.
H2+br2 уравнение. c2h4br2. c2h2+br2. c2h2+2br2.
K2cro4 h2so4. k2cro4 k2cr2o7. h2o2+h2so4+k2cr2o7 цвет.
Реакции с ch3nh2. h2so4 cuo молекулярное уравнение. ch3ch2oh o2 уравнение.
H2so4 br2 изб
H2so4 br2 изб
H2so4 br2 изб
H2o2 h2so4. so4+h2o. mno2 h2so4. kmno4 kno2 h2so4 k2so4 mnso4 kno3 h2o овр.
Пропанол 1 h2so4. пропанол 2 h2so4. цепочки превращений по органической химии. пропанол-1 h2so4 конц.
H2so4 br2 изб
H2s+br2 электронный баланс. овр h2s+br2 s+2hbr. h2s o2 s h2o овр.
So3h+hno3 реакция. хинолин hno3 h2so4. бензойная кислота hno3 h2so4 конц. so2cl2 структурная формула.
Ch ch kmno4 h2o овр. c6h8 kmno4 h2so4. c3h6 c2h4o2. уксусная кислота kmno4 h2so4 овр.
Fe+h2so4. fe+hcl окислительно восстановительная реакция. fe h2so4 конц. fe h2so4 разб.
Ch3 k2cr2o7 h2so4. ch3ch2oh h2so4 конц t<140.
H2so4 br2 изб
H2s br2 = 2hbr s изменение степени окисления серы. овр h2s+br2 s+2hbr. h2s + br2 → s +hbr овр. h2+s уравнение.