Удиви меня
Гипергликемия терапия
Гипергликемия терапия
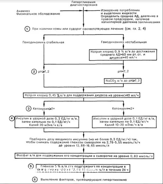
Терапия гипергликемии. рекомендации при гипергликемии. коррекция гипергликемии схема. расчет инсулина при гипергликемии.
Гипергликемия терапия
Терапия гипергликемии. осложнения при гипергликемии. гипергликемия лекарства. гипергликемия кома осложнения.
Гипергликемия симптомы. помощь при гипергликемии. профилактика гипергликемии. первая полощь пригипергликемии.
Гипергликемия. гипергликемия степени тяжести. диабетическая гипергликемия.
Гипергликемия. возможные причины гипергликемии. симптомы гипергликемии при сахарном диабете. причина гипергликемии при сахарном.
Клинические проявления гипергликемии. гипергликемия первые симптомы. неотложные состояния при гипергликемической коме.
Гипергликемия характерна для. гипергликемия рекомендации. клинические проявления гипергликемии. гипергликемия 1 степени.
Гипергликемия терапия
Гипергликемия. гипергликемическая терапия. гипергликемия лечение. гипергликемия симптомы.
Клинические проявления гипергликемии. кожные покровы при гипергликемии. гипергликемия у новорожденных клинические рекомендации.
Гипергликемия. гипергликемия характерна для. кожные покровы при гипергликемии.
Гипергликемия терапия
Коррекция гипергликемии схема. гипергликемия схема. гипергликемия рекомендации. гипергликемия клинические рекомендации.
Клинические проявления гипергликемии. рекомендации при гипергликемии. острая гипергликемия симптомы.
Гипергликемия. гипергликемия и гипогликемия биохимия. причины и проявления гипергликемии. гипергликемия виды причины.
Контроль гликемии. инсулин при гипергликемии. контроль гликемии у детей. терапия при гипергликемии.
Препараты при гипергликемии. коррекция гипергликемии. гипергликемия и отек мозга. купирование гипергликемии.
Причины развития гиперосмолярной комы. гипергликемические осложнения сахарного диабета. гипергликемия возникает при. причины гипергликемической комы при сахарном диабете.
Гипергликемия осложнения. сахарный диабет 1 типа гипергликемия. влияние гипергликемии на организм. ранние осложнения.
Сахарный диабет гипергликемия. причины и проявления гипергликемии. гипогликемия и гипергликемия. клинические проявления гипергликемии.
Алиментарная гиперглюкоземия. физиологическая гипергликемия. виды гипергликемии. гипергликемия причины возникновения.
Гипергликемия глюкозурия. полиурия при гипергликемии. гипергликемия на фоне инфекции. острая гипергликемия лечение.
Гипергликемическая глюкозурия. гипергликемия кома. гипергликемическая кома глюкозурия.
Тощаковая гипергликемия. хронический панкреатит с внутрисекреторной недостаточностью. хронический панкреатит с внешнесекреторной недостаточностью. проявление внутрисекреторной недостаточности.
Введение инсулина при гипергликемической коме. терапия при гипергликемической коме. алгоритм действий медсестры при гипергликемической коме.
Гипергликемия терапия
Гипергликемию вызывают. гипергликемия этиология. гипергликемия клиническая картина. основные причины гипергликемии.
Гипергликемия. гипергликемия симптомы. гипергликемия при сахарном диабете. клинические проявления гипергликемии.
Гипергликемия осложнения. клинические проявления гипергликемии. последствия гипергликемии биохимия. причины развития гипергликемии.
Коррекция гипергликемии. гипергликемия в реанимации. гипергликемия и инсульт.
Гипергликемия. первая помощь при сахарном диабете. гипергликемия симптомы. сд 1 типа гипергликемия.
Клинические симптомы гипогликемии. клиническая картина гипогликемической комы. клинические признаки гипогликемической комы. гипергликемия клинические рекомендации.
Гипергликемия терапия
Гипергликемия презентация. гипергликемия лечение. гипергликемия это кратко. терапия гипергликемии.
Гипергликемия. гипергликемия при диабете. гипергликемия неуточненная. терапия гипергликемии.
Гипергликемия терапия
Гипергликемия терапия
Гипергликемия терапия