Удиви меня
Этан бром 2 реакция
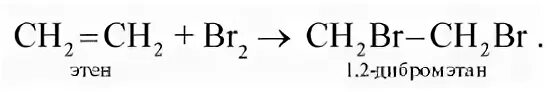
Уравнение реакции бромирования этилена. этан и бром реакция. реакция взаимодействия этана с бромом. этан.
Этан бромэтан. бромэтан структурная формула. из этана получить бромэтан. этан и бром.
Механизм реакции бромирования этилена. бромирование этана. бромирование этана реакция. механизм бромирования алканов.
Этан-бромэтан-бутан-изобутан-оксид углерода. бутан изобутан реакция. цепочки октан бутан изобутан со2. реакция бутан с 2br2.
Этан бром 2 реакция
Этан и бромоводород. этен и бромоводород. этан 1 2 дибромэтан. этан в этен.
Бромэтан структурная формула. этилбромид. 2 бромпропан плюс магний и эфир. из бромэтана в этанол.
Бромэтан структурная формула. этан этен бромэтан этанол бромэтан. этан и бром реакция.
Этан-бромэтан-бутан-изобутан-оксид углерода. уравнение реакции этана с бромом. бутан плюс изобутан. изобутан и бром реакция.
Бромирование этана механизм. бромирование этана. реакция бромирования этана. бромирование бутана реакция.
Этан бром 2 реакция
Этан плюс бром. этан br2. этан бром 2. этан br2 hv.
Этан в дибромэтан. этен в этин. этан и бромоводород. этан в этен реакция.
Этилбромид структурная формула. структурная формула бромэтана. структурная формула этилбромида. структурная формула бромэтен.
Этан бром 2 реакция
Изобутан бромирование. реакция бромирования изобутана. бромирование изобутана механизм. механизм реакции бромирования изобутана.
Этан br2. получение этин из этана. этин плюс br2. этин br2 реакция.
1 2 дибромэтан. дибромэтан в этин. этилен дибромэтан. дибромэтан в ацетилен.
Этанол бромэтан уравнение реакции. бромэтан в этанол. получение эьанола ищ бром этана. полуйение этанол из нромэтана.
Реакция этилена с бромной водой. этилен и бром. взаимодействие этилена с бромной водой. реакция ацетилена с бромной водой.
2 бром 3 метилпентан. трет бутоксид калия. 2 метилпентан + бром. 2 бром 2 метилпентан.
Этен структурная формула. структурная формула брома. этилен. этан и бром.
Бромэтан ацетилен. ацетилен + hbr. этан и hbr. реакция получения бромэтана.
Реакция присоединения этилена с h2. химические свойства этилена. этилен реакции. этилен присоединение.
2 бром 2 фенилпропан. лимонен бром два. 1,6-дигидрокси-5-бром-2-бутилбензол. 2-бром-2-фенилбутан + метанол.
Этан 1 2 дибромэтан. из этана 1 2 дибромэтан. этилен дибромэтан реакция. реакции этана.
Алкены реакция гидрогалогенирования. гидрогалагенирование аренов. гидрогаллогенирование алкена. гидрогалогенирование алкенов.
Этен схема. полистирол образуется в результате реакции схема которой. веществом x в цепочке превращений этан x этанол является.
Этин и бром. этин плюс бром. взаимодействие этина и брома.
Этан бром 2. этан и бром. этан плюс бром 2. этан и бром реакция.
Уравнение реакции бромирования метана пропана. бромирование пропина уравнение реакции. бромирование пропана реакция 2 стадии. уравнение реакции бромирования пропана.
Толуол br2. толуол плюс бром 2. этан плюс бром. толуол br2 fe.
Реакция галогенирования бутана. галогенирование алканов бутана. бромирование алканов механизм реакции. бутан плюс бром реакция.
Механизм реакции бромирования этилена. этилен плюс бром 2. уравнение реакции бромирования этилена. реакция бромирования этина.
Бромная вода формула структурная. этилен и бром. взаимодействие этилена с бромной водой. реакция этилена с бромной водой.
Взаимодействие метана с бромом. метан и бромная вода. уравнение реакции метана с бромом. этан и хлор на свету.
Пропилен + бутадиен 1 3. реакция бутадиена 1.3 с бромной водой. бутадиен-1.3 тетрабромбутан. бутадиен-1.3 и бромная вода.
Этан бром 2 реакция
Этан бром 2 реакция
Бромметан этан. метан бромметан. бромметан и натрий.