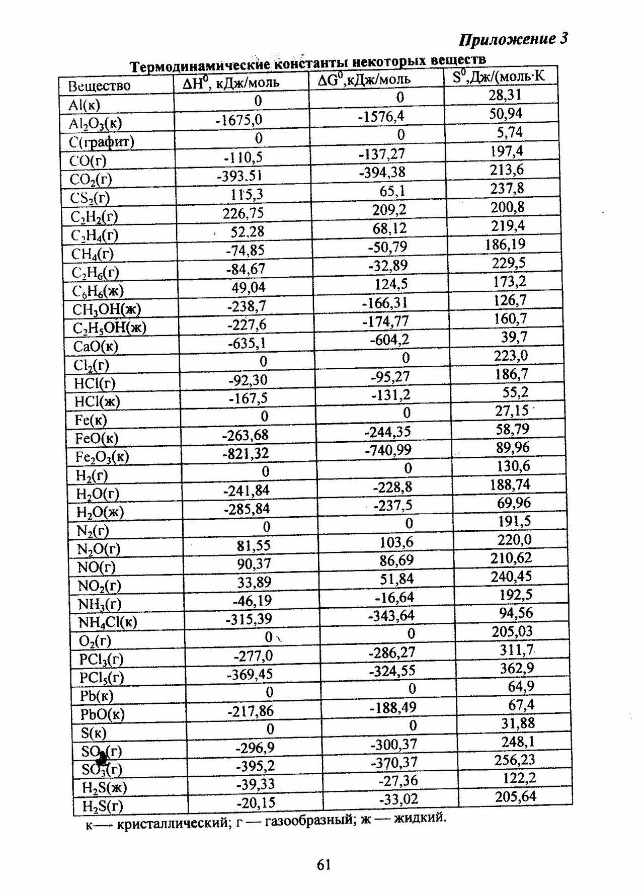
Стандартная энтальпия образования таблица. энтальпии образования веществ таблица. энтальпия и энтропия таблица. энтальпия энтропия и энергия гиббса таблица.Энтальпии, энтропия, энергия гиббса образования веществ таблица. энергия гиббса образования таблица. энтальпия энтропия и энергия гиббса таблица. энтальпия таблица значений.Энтальпия энтропия и энергия гиббса таблица. энтальпии, энтропия, энергия гиббса образования веществ таблица. энергия гиббса ионов таблица. энергия гиббса 298 таблица.Теплоты образования веществ таблица энтальпия. таблица энтальпии веществ. таблица стандартных теплот образования веществ. энтальпии образования веществ таблица.Стандартные значения энтальпии таблица. энтальпия и энтропия таблица. энтальпия энтропия и энергия гиббса таблица. изменение энтропии таблица.Энтальпия и энтропия таблица. стандартные энтропии веществ таблица. таблица стандартных энтальпий и энтропий образования веществ. энтальпии, энтропия, энергия гиббса образования веществ таблица.Энтальпия образования ионов таблица. энтальпия и энтропия таблица. таблица энергии гиббса веществ. стандартная энтальпия образования h2s.Энергия гиббса таблицаЭнтальпии образования веществ таблица. энтальпия таблица значений. термодинамические характеристики веществ таблица. дельта g 298 таблица.Дельта h 298 таблица. энтальпия реакции таблица. стандартное изменение энтальпии химической таблица. энергия гиббса таблица стандартных значений.Энтальпия энтропия и энергия гиббса таблица. стандартное изменение энтальпии таблица. стандартная энтальпия веществ таблица. стандартная энтальпия h2.Энергия гиббса таблицаЭнергия гиббса li20. энергия гиббса h2 таблица. стандартная энергия гиббса h2o. постоянные энергии гиббса таблица.Стандартная энтальпия веществ таблица. таблица энтальпии и энтропии веществ. стандартная энтальпия образования таблица. энтальпии образования веществ таблица.Таблица дельта н дельта s дельта g. изменение энтропии таблица. энергия гиббса 298 таблица. стандартная энергия гиббса таблица.Энтальпия и энтропия таблица. энтальпия реакции таблица. удельная энтальпия образования таблица. стандартная энергия гиббса таблица.Энергия гиббса таблицаЭнтальпия (теплота) образования таблица. энтальпии образования веществ таблица. энергия диссоциации химических связей таблица. энтальпия реакции таблица.Энергия гиббса таблицаЭнергия гиббса таблица стандартных значений. стандартная энтальпия образования nh3. энергия гиббса для веществ. энтальпия энтропия и энергия гиббса таблица.Энергия гиббса таблицаЭнергия гиббса таблицаЭнергия гиббса таблицаЗначения энергии гиббса таблица. таблица энтальпии и энтропии веществ. энтальпия образования agcl. стандартная энтальпия реакции таблица.Энергия гиббса таблицаСтандартная энтальпия образования таблица. значение энтальпии и энтропии таблица. энтальпии образования веществ таблица. стандартные энтальпии образования веществ таблица.Энергия гиббса таблицаМищенко справочник физико-химических величин. энтальпии, энтропия, энергия гиббса образования веществ таблица. дельта h 298 таблица. энтальпия энтропия и энергия гиббса таблица.Энергия гиббса образования таблица. энтальпия образования ионов таблица. энтальпия образования воды таблица. стандартная энтальпия образования no2.Стандартные энтальпии образования веществ таблица. таблица теплового эффекта веществ. стандартные энтальпии образования химических веществ.. энтальпия и энтропия таблица.Энергия гиббса таблицаЭнергия гиббса таблицаЭнтальпия энтропия и энергия гиббса таблица. стандартная энтальпия веществ таблица. стандартная энтальпия таблица при 298 к. стандартная энтальпия образования h2o2.Энергия гиббса таблицаТермодинамические константы веществ таблица. термодинамические константы некоторых веществ таблица. термодинамические свойства простых веществ таблица. термодинамические свойства некоторых веществ таблица.H2s энергия гиббса. таблица энтальпии и энтропии веществ. энергия гиббса h2so4.Энтальпии, энтропия, энергия гиббса образования веществ таблица. энтальпия энтропия и энергия гиббса таблица. энтальпия простых веществ таблица. энтальпия веществ таблица значений.Энергия гиббса h2so4. h2s энергия гиббса. энергия гиббса для c2h4. энергия гиббса для никеля.Стандартная энтальпия образования nh3. энтальпия и энтропия таблица. энтальпия образования вещества формула. стандартная энтальпия образования h2o2.Энтальпия веществ таблица значений. стандартные энтальпии и энтропии веществ таблица. стандартная энтальпия образования таблица. энтальпии образования веществ таблица.