Удиви меня
Двоичный java
Алгоритм бинарного поиска java. двоичный поиск java. алгоритм бинарного поиска c++. binarysearch java пример.
Octal. binary to octal. octal в программировании. java binary to octal.
Алгоритм бинарного поиска java. бинарный поиск числа в массиве java. binary search algorithm. binary search c++ функция.
Binary search java. binary search algorithm java. алгоритм бинарного поиска java. бинарный поиск js.
Алгоритм бинарного поиска java. бинарный поиск java. recursion java. binary search.
Массив java. импорт сканера java. int java. array java.
Алгоритм бинарного поиска java. метод бинарного поиска java. язык программирования java. бинарный поиск java пример.
Binary string. convert to int java. .todecimal джава. binary to decimal calculator in java.
Двоичный java
How to convert binary to decimal. decimal java. binary in java. binary to decimal calculator in java.
Binary search алгоритм. двоичный поиск java. бинарный поиск java. бинарный поиск пример.
Бинарный поиск java. алгоритм бинарного поиска java. двоичный поиск java. бинарные операторы java.
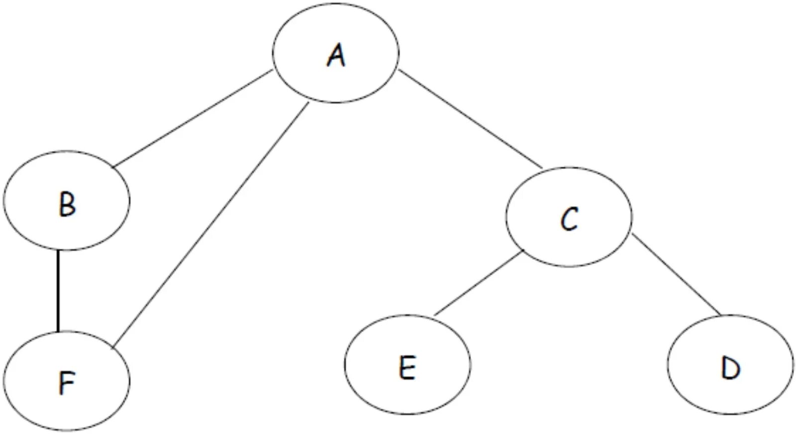
Дерево java. бинары. структура перелинковки.
Java примеры. println java. how to convert string to int in java. package java.
Бинарный поиск. бинарный поиск java. алгоритм бинарного поиска. бинарный поиск c++.
Бинарный поиск java. двоичный поиск java. массивы в java if. бинарный поиск в массиве.
Двоичный java
Binary search. код на java бинарное дерево с графическим интерфейсом. binary search java. бинарный поиск java.
Int java. number java. int in java. максимальное число int java.
Postorder traversal binary tree. бинарное дерево java алгоритм. бинарное дерево в природе. pre order дерево.
Бинарный поиск java. binarysearch java пример. алгоритм бинарного поиска java. двоичный поиск java.
Двоичный java
Структура java. дерево java. структуры данных java. бинарное дерево java алгоритм.
Java бинарный поиск в list. реализация бинарного поиска в php. collections.binarysearch java.
Бинарный поиск. binary search. двоичный поиск. бинарный (двоичный) поиск.
Бинарный поиск. binary search алгоритм. бинарный поиск java. двоичный поиск java.
Двоичный java
Binary tree java. бинарное дерево. двоичное дерево. сбалансированное бинарное дерево.
Бинарный поиск. алгоритм бинарного поиска. binary search c++ функция. двоичный поиск java.
.todecimal джава. decimal java. binary in java. decimal формат данных java.
Сбалансированное дерево java. бинарный поиск java. балансировка красно черного дерево java. окно "java binary не отвечает" ман на десятке.
Бинарный поиск. бинарный поиск в массиве. алгоритм бинарного поиска java. бинарный поиск java пример.
Двоичный java
Postorder traversal binary tree. preorder traversal binary tree. бинарное дерево java. pre order дерево.
Бинарное дерево java. красно черное дерево и бинарное дерево. дерево структура данных java. красно-чёрное дерево java.
Операторы java. логические операторы java. precedence operators java. таблица операторов java.
Бинарное дерево java. tree in java структура. дерево разработки java. деревья java методы.
Бинарный поиск java. алгоритм бинарного поиска. алгоритм бинарного поиска java. реализовать алгоритм бинарного поиска java.
Object-oriented programming languages. java structure code. write once, run anywhere java. структура java приложения runtime.
Четырехмерный массив java. как сделать массив в java. двумерный массив java 3х3. 2х мерные массивы java.
Двоичный java
Матрица в java. matrix ava. ява матрица. вывод матрицы java.
Двоичный java
Двумерный массив java. заполнение массива java. массив в методе java. двумерный массив java 3х3.
Управляющие операторы java. оператор return java. оператор ввода в java. ввод массива java.
Бинарное дерево java. высота бинарного дерева. бинарное дерево поиска java. binary search tree.
Типы литералов в джава. binary тип данных. 8 примитивных типов java. тип литерала 0x0bp3 java.
Логические операции с++ битовые операции. побитовые операции джава. логические операции java. таблица логических операций java.
Высота бинарного дерева. бинарное дерево java. бинарное дерево калькулятор. завершённое бинарное дерево.
Бинарное дерево java. binary search tree. несбалансированное бинарное дерево. бинарное дерево поиска java.
Бинарные операции java. бинарные операторы c. унарный и бинарный оператор. бинарные логические операторы.
Java read. ссылки в java. binary operators in java. binary search java.
Конструкция switch case java. свитч кейс джава. свитч java. оператор switch java.
Java code. palindrome number in java.
Бинарный поиск js. binary search c++ функция. алгоритм бинарного поиска java. binaries javascript.
Java platform se. minecraft java tm platform se binary. java tm platform se binary. java platform se binary не отвечает.
Двоичный java
Дерево java. node дерево. обходы деревьев в джава. структуры данных java.
Бинарное дерево java. красно черное дерево и бинарное дерево. красно-чёрное дерево java. корень бинарного дерева java.
Дерево java. двоичное дерево вид узлов схема. бинарное деревево java как вывести. binary tree.
Массив массивов java. бинарный поиск в массиве c++. линейный поиск в массиве. количество элементов в массиве java.
Двоичный java
Двоичный java
Binary search in java. binary search java.
Бинарный поиск java. двоичный поиск java. алгоритм бинарного поиска java. метод бинарного поиска java.
Двоичный java
Invert binary tree. дерево java. что такое структура дерево в java. дерево фенвика js.
Массив java. методы массивов java. список массивов java. задание массива в java.
Красно-чёрное дерево. бинарное дерево java. структура двоичного дерева. красно-чёрное дерево java.
Decimal to binary. двоичный код в java. how to convert binary to decimal. decimal c#.
Двоичный java
Многопоточность java. способы синхронизации потоков java. java thread states. thread java.
Двоичный java
Двоичный java
Декартово дерево. бинарный поиск java. бинарный поиск пример. java map дерево.
Двоичный java
Поразрядные (битовые) операции. логические операции с++ битовые операции. поразрядные операции java. операция & битовые операции.
Массив 12 переменных в java. цикл for для массива java. массив строк java. заполнение строкового массива java.
Литералы в python. литерал в питоне. longest java classname. literals in cpp.
Integer to string in java. string to int java. int to string in java. джава из string в int.
Что такое дабл в джаве. двойной массив java. из double в int java. из double в integer java.
Числа с плавающей точкой java. байтовое представление числа. числа в java. мантисса в двоичном представлении.
Логические операции java. логический оператор или java. логические операторы в java программировании. логические операторы java таблица.
Двоичный java
Бинарное дерево. бинарное дерево поиска. двоичное дерево. бинарное дерево java.
Бинарное дерево java. бинарное дерево c++. схема двоичного дерева. бинарное дерево java алгоритм.
Окно "java binaryt jndtxftn&. окно "java binary не отвечает" ман на десятке.