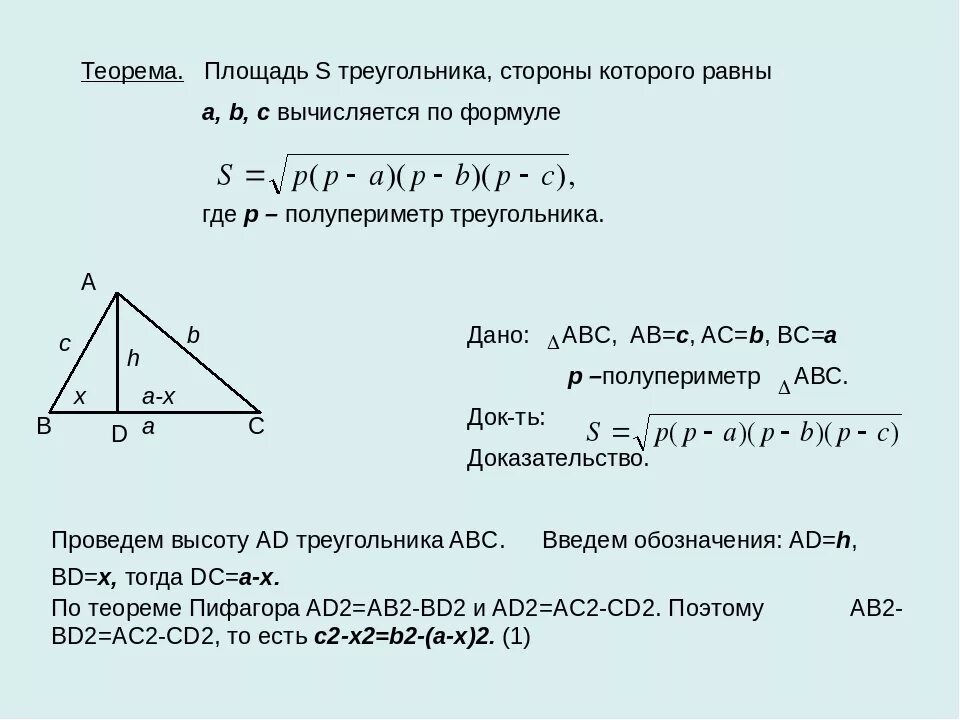
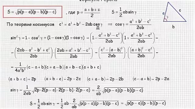
Формула герона доказательство 8 класс атанасян. теорема герона для треугольника доказательство 8 класс. доказательство теоремы герона 8 класс. формула герона 8 класс геометрия атанасян.Теорема формула герона с доказательством. площадь треугольника герона. теорема герона для треугольника доказательство 8 класс. теорема герона для треугольника 8 класс.Доказательство формулы герона для площади треугольника 8 класс. формула герона для треугольника 8 класс. формула герона доказательство 8 класс. теорема герона доказательство.Формула герона для площади треугольника. формула герона доказательство 8 класс. формула герона для треугольника доказательство. вычисление площади по формуле герона.Формула герона для площади треугольника 8 класс. формула герона 8 класс геометрия. как решать по формуле герона. доказательство формулы герона для площади треугольника 8 класс.Формула герона для площади треугольника доказательство. формула герона вывод формулы. вывод формулы герона. формула герона доказательство 8 класс.Доказательство формулы геронаФормула герона для площади треугольника. формула герона герона. формула герона для треугольника вывод. формула герона для треугольника доказательство.Доказательство формулы геронаДоказательство формулы геронаТеорема герона доказательство. формула герона 8 класс геометрия атанасян. вывод формулы герона. формула герона для треугольника доказательство.Формула герона герона. формула герона для площади треугольника. 2 формула герона. формула герона для площади.Доказательство формулы геронаПлощадь треугольника теорема герона. формула герона для площади треугольника. теорема пифагора и формула герона. теорема герона 8 класс геометрия.Формула герона доказательство 8 класс. формула герона для площади треугольника доказательство. теорема герона доказательство. формула герона 8 класс атанасян.Доказательство формулы геронаФормула герона доказательство.Формула герона герона. формула герона для площади. формула герона для площади треугольника 8 класс. доказательство по формуле герона.Доказательство формулы геронаДоказательство формулы геронаФормула герона герона. формула герона формула. формула герона доказательство кратко. геометрия формула герона.Вывод формулы герона. формула полупериметра. формула герона для площади четырехугольника.Площадь треугольника формула герона для площади. формула герона для площади треугольника. формула герона герона. формула площади треугольника по формуле герона.Теорема верона площадь треугольника. формула герона для площади треугольника. формула герона для треугольника площадь треугольника. как найти площадь треугольника теорема герона.Доказательство формулы геронаФормула герона 8 класс атанасян. формула герона 8 класс геометрия. теорема герона формула 8 класс. формула герона вывод формулы 8 класс.Доказательство формулы геронаФормула герона. формула герона для площади треугольника. формула герона формула. формула герона герона.Доказательство формулы геронаПлощадь треугольника формула герона 8 класс геометрия. формула герона для треугольника вывод. формула герона 8 класс геометрия. формула герона 8 класс геометрия атанасян.Теорема формула герона с доказательством. доказательство теоремы герона 8 класс. формула герона доказательство. формула герона доказательство 8 класс.Доказательство формулы геронаФормула герона. формула герона доказательство. вневписанная окружность формулы. модифицированная формула герона.Формула герона герона. герон александрийский формула герона. формула герона доказательство. формула герона формулировка.Площадь треугольника герона. формула герона для прямоугольного треугольника.Доказательство формулы геронаСформулируйте формулу герона. теорема герона для треугольника. теорема герона 8 класс геометрия. формула герона доказательство 8 класс.Доказательство формулы геронаДоказательство формулы геронаФормула герона. формула герона для площади. формула герона формулировка. 2 формула герона.Доказательство формулы геронаФормула герона герона. формула герона для площади треугольника. теорема герона 8 класс геометрия. теорема формула герона с доказательством.Доказательство формулы геронаФормула герона 8 класс. формула герона для площади. площадь треугольника через формулу герона. формула герона формулировка.Формула герона для площади треугольника. формула площади треугольника по формуле герона. формула вычисления площади треугольника по формуле герона. формулы для вычисления площади треугольника формула герона.Формула площади через полупериметр. формула герона герона. площадь треугольника через полупериметр. формула герона для площади.Формула герона герона. формула герона для площади треугольника. формула герона для равнобедренного треугольника. формула герона формула.Формула герона для площади треугольника доказательство. доказательство теоремы герона 8 класс. теорема формула герона с доказательством. доказательство формулы герона для площади треугольника 8 класс.Ф-ла герона. формула герона герона. формула нейрона. формула герона формулировка.Формула герона формулировка. формула герона для площади треугольника. формула герона для площади. 2 формула герона.Преобразовать равенство. вывод формулы герона. вывод формулы герона 8 класс. преобразование формулы герона.Доказательство формулы геронаФормула герона 8 класс геометрия атанасян. задачи на формулу герона 8 класс. формула герона 8 класс геометрия. формула герона презентация 8 класс.Доказательство формулы геронаФормула герона для площади треугольника 8 класс. формула герона герона. формула герона доказательство 8 класс. формула площади треугольника по формуле герона.Для нахождения площади треугольника через формулу герона. формула площади по формуле герона. найдите площадь треугольника через формулу герона. формула герона для вычисления площади.Формула герона. формула герона для четырехугольника. теорема герона для четырехугольника. теорема герона для треугольника.Доказательство формулы геронаТеорема пифагора и формула герона. доказательство теоремы герона 8 класс. формула герона герона. формула герона доказательство 8 класс атанасян.Доказательство формулы геронаДоказательство формулы геронаФормула герона для площади треугольника. формула герона для площади произвольного треугольника. формула площади треугольника через формулу герона. площадь равнобедренного треугольника формула герона.Доказательство формулы геронаДоказательство формулы геронаПлощадь треугольника герона. формула герона для треугольника. полупериметр треугольника формула герона. формула герона для прямоугольного треугольника.Формула герона рис 411. формула герона для площади треугольника. площадь основания по формуле герона. формула герона для площади параллелограмма.Доказательство формулы геронаДоказательство формулы геронаДоказательство формулы геронаДоказательство формулы геронаДоказательство формулы геронаДоказательство формулы геронаПлощадь треугольника герона. нахождение площади треугольника по формуле герона. формула площади треугольника формула герона. формула герона для треугольника.Формула герона для треугольника. площадь треугольника герона. формула герона для площади. площадь треугольника герон p.Герон из александрии. древнегреческий ученый герон. формула герона. формула герона формулировка.Формула герона для площади. формула герона для площади треугольника. формула площади треугольника по формуле герона. формула герона для вычисления площади треугольника.