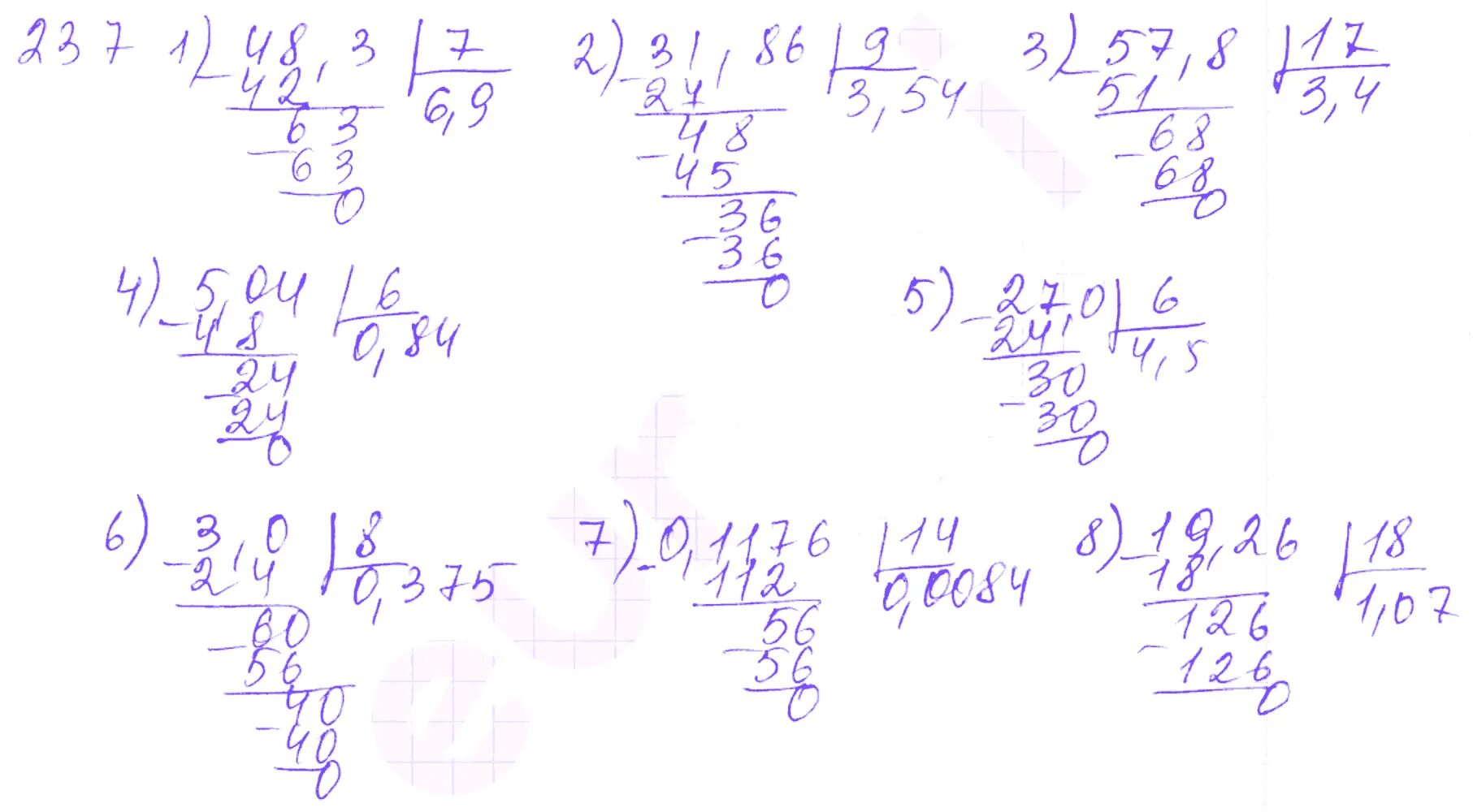
Математика 5 класс мерзляк дидактические материалы. мерзляк 5 класс дидактические материалы. дидактические материалы по математике 5 мерзляк.Математика 5 класс мерзляк дидактические материалы. математика 5 класс дидактика мерзляк полонский. математика 5 класс дидактические материалы. мерзляк 5 класс дидактические материалы.Мерзляк 5 класс дидактические материалы. 10 класс дидактические материалы мерзляк профиль. гдз математика 5 дидактика мерзляк. дидактика 8 класс геометрия мерзляк.Мерзляк 5 класс дидактические материалы. мерзляк. математика. 5 кл. дидактические материалы.. математика 5 класс дидактические материалы. дидактические материалы по математике 5 класс мерзляк.Мерзляк. математика. 5 кл. дидактические материалы.. дидактические материалы по математике 5 класс мерзляк полонский. дидактические материалы по математике 5 класс мерзляк 5. дидактика по математике 5 класс мерзляк 1 часть.Математика 5 класс мерзляк дидактические материалы. дидактичка по математике 5 класс мерзляк. дидактические материалы по математике 5 мерзляк. математике 5 класс мерзляк дидактический материал.Математика 5 класс мерзляк дидактические материалы. по дидактическому материалу 5 класс математика мерзляк. дидактическая математика 5 класс мерзляк.Математика 5 класс мерзляк дидактические материалы. математика 5 класс номер 239. дидактики по математике 5 класс мерзляк.Гдз по математике. дидактические материалы по математике 5 класс мерзляк. гдз по алгебре 5 класс. математика 5 класс упражнение 103.Гдз по математике 5 класс мерзляк дидактический материал. математика 5 класс мерзляк дидактические материалы гдз. дидактические материалы по математике 5 класс мерзляк задание. математика 5 класс мерзляк дидактические материалы ответы стр 138.Дидактический материал 5 класс мерзляк страницыМатематика 5 класс мерзляк дидактические материалы. математике 5 класс мерзляк дидактический материал. математика 5 класс мерзляк полонский якир дидактический материал. мерзляк 5 дидактические материалы.Математика 5 класс мерзляк дидактические материалы гдз. гдз по матем 5 класс мерзляк дидактические материалы. математика дидактические материалы 5 класс мерзляк решебник. гдз по математике 5 класс мерзляк дидактический материал.Математика 5 класс мерзляк дидактические материалы. математика 5 класс дидактические материалы а.г.мерзляк. дидактика 5 класс математика мерзляк. математике 5 класс мерзляк дидактический материал.Математика 5 класс мерзляк. математика 5 класс учебник. учебник по математике 5 класс. учебник по математике 5 класс мерзляк.Дидактические материалы по математике 5 класс. дидактический материал по математика 5 класс. математика 5 класс дидактические материалы. дидактика 5 класс математика.Математика 5 класс мерзляк дидактические материалы гдз ответы. гдз по матем 5 класс мерзляк дидактические материалы. мерзляк 5 класс дидактические материалы стр 28. гдз по математике 5 класс мерзляк дидактический материал 5.Дидактические материалы по математике 5 класс мерзляк 229 номер. математика 5 класс номер 229 мерзляк.Математика 5 класс мерзляк номер 1020. математика пятый класс номер 1020. дидактические материалы по математике 5 класс мерзляк. мерзляк полонский рабинович якир дидактические материалы 5 класс.Номер 237 по математике 5 класс. математика номер 237. математика 5 класс номер 237.Математике 6 класс мерзляк дидактический материал. учебник по математике 6 класс дидактический материал мерзляк. математика 6 класс дидактические материалы мерзляк полонский.Дидактика мерзляк номер 197. материал 5 класс мерзляк. дидактика 5 класс мерзляк.Математика 5 класс мерзляк дидактические материалы гдз. гдз математике дидактический материал 5 класс мерзляк. гдз по математике 5 дидактические материалы мерзляк. гдз по математике 5 класс мерзляк диктатические материалы.Мерзляк 5 класс дидактические задания математика. мерзляк. математика. 5 кл. дидактические материалы.. дидактика по математике 5 класс мерзляк. дидактические материалы по математике 5 класс мерзляк.Математика 5 класс номер 1122 условия. математика 5 класс мерзляк задача 1016. математика 5 класс 826. дидактические материалы по математике 5 класс мерзляк.Математика 5 класс номер 138. матем 5 класс мерзляк 138 номер. гдз по математике 5 класс мерзляк дидактический материал. вспомогательные таблицы по математике 6 кл мерзляк.Номер 198 по математике 5 класс дидактические материалы. матем 5 класс мерзляк номер 198. математика 5 класс номер страница 198 номер 5. математика 5 класс мерзляк страница 198 номер 771.Кл188-1. дидактика 5 класс упражнение 193 10 девятых. об 188 вариант 8.Гдз по дидактическому материалу 5 класс мерзляк. номер 252 по математике 5 класс.Гдз по математике 5 класс мерзляк полонский якир номер 479. математика 5 класс мерзляк гдз №187. как упростить выражение 5 класс математика мерзляк.Дидактические материалы 5 класс мерзляк кр. математика 5 класс мерзляк. обобщение и систематизация знаний по курсу математики 5 класса. дидактические материалы по алгебре 5 класс мерзляк.Математика 6 класс мерзляк учебник страница 277 номер 1147.Мерзляк фото автора учебника. мерзляк создатель учебника. мерзляк фото.Книжка контрольные работы по математике 5 класс мерзляк. контрольные и проверочные работы по математике 5 класс мерзляк фгос. контрольные работы по математике 5 класс мерзляк книга. тетрадь для контрольных работ по математике 5 класс мерзляк.Дидактический материал по математике 5 класс дорофеева. математика дидактические материалы 5 класс дорофеев. династические материалы. детактические материал.Математика 5 класс мерзляк дидактические материалы. мерзляк 5 класс дидактические материалы. самостоятельные материалы по математике 5 класс мерзляк. мерзляк математика дидактические материалы.Пособие по контрольным работам по математике 6 класс мерзляк. контрольные работы по математике 6 класс мерзляк книга. дидактика 6 класс математика мерзляк. математика 6 класс мерзляк справочник.Сборник дидактических материалов мерзляк 5 класс. дидактические материалы 5 класс мерзляк кр. мерзляков математика 5 сборник. дидактические материалы по математике 11 класс мерзляк.Математика 6 класс мерзляк дидактические материалы. дидактика по математике 6 класс мерзляк страница 138. дидактические материалы по математике 6 класс мерзляк гдз ответы. карточки 6 класс математика мерзляк.Умк по математике 5-9 класс фгос мерзляк. линия умк мерзляк математика. математика методическое пособие. умк мерзляк 5 класс математика.Дидактические материалы по математике 5 класс мерзляк. гдз по математике 5 класс мерзляк. гдз по алгебре 7 класс мерзляк. гдз математика 5 дидактика мерзляк.Рабочая тетрадь к учебнику мерзляк 5 класс. рабочая тетрадь по математике 5 класс мерзляк. математика 5 класс мерзляк рабочая тетрадь. математика 5 класс учебник и рабочая тетрадь мерзляк.Математика учебник мерзляк. мерзляк 6 дидактические материалы. дидактика 6 класс мерзляк.Математика 5 класс мерзляк тетрадь 2 вариант. гдз математика 5 класс мерзляк полонский мерзляк. математика 5 класс мерзляк с 167 тест. математика 5 класс 2 часть мерзляк полонский якир.Математика дидактические материалы. дидактические материалы 5 класс. мерзляк 5 класс дидактические материалы. математика 5 класс дидактические материалы.Гдз по математике 5 дидактические материалы мерзляк. математика 5 класс мерзляк дидактические материалы гдз. гдз по математике 5 класс мерзляк дидактический материал. мерзляк 5 класс дидактические материалы.Дидактический материал 5 класс мерзляк страницыМатематика 5 класс мерзляк дидактические материалы. математика дидактические материалы полонский якир. мерзляк математика дидактические материалы. контрольная математика 5 класс углы.Дидактический материал по математике. дидактические материалы 6 класс. материал 6 класса по математике. дидактические материалы по математике 6 класс.Математика 5 класс номер 651. математика 5 класс 651. 651 задание алгебра.Математика 5 класс мерзляк номер 1002. математика 5 класс мерзляк номер 1002 решение. математика 5 класс номер 1001. учебник по математике 5 класс мерзляк номер 1002.Учебник по математике 5 класс. учебник математики 5 класс. учебник математики 5 класс мерзляк. учебник математики мерзляк 5.Гдз по дидактическому материалу 5 класс мерзляк. дидактические материалы по математике 5 класс мерзляк 229. математика 5 класс дидактический материал с 117 номер 169.Ответы дидактические материалы 11 класс потапов 3 контрольная. дидактика по математике. материал 6 класса по математике. дидактические материалы по математике 6 класс никольский.Математика дидактические материалы. дидактические материалы по математике 5 класс. математика 5 класс дидактические материалы. дидактический материал по математика 5 класс.Повторение математика 5 класс мерзляк задания по математике. контрольная работа 6 5 класс математика мерзляк. повторение 5 класс математика мерзляк задания на повторение. математика 5 класс мерзляк повторение 5 класс.Дидактический материал по математике. дидактический материал по математика 5 класс. дидактические материалы по математике 5 класс. математика 5 класс дидактические материалы.Гдз по математике 6 класс. математика 6 класс дидактические материалы. гдз дидактические материалы потапов. дидактические материалы по математике 6 класс.Математика 5 класс номер 1157. гдз по математике 5 класс мерзляк номер 1074. математика 5 класс мерзляк 1072. гдз по дидактическому материалу 5 класс мерзляк.Умк по математике 5-9 класс фгос мерзляк. учебник по математике 5 класс дидактические материалы мерзляк. мерзляк 5 класс учебник. мерзляк 5 класс учебные пособия.Дидактический материал по математике 5 класс номер 238. номер 238 по математике 5 класс дидактический материал мерзляк. гдз по математике 5 класс мерзляк номер 238. математика 5 класс мерзляк 845.Математика 5 класс мерзляк номер 1080. математика 5 класс номер 1122 условия. математика 5 класс мерзляк 1142. математика 5 класс мерзляк 1052.Умк по математике 5-9 класс фгос мерзляк. умк алгоритм успеха. алгоритм успеха учебники. умк математика 5 класс.Математика 5 класс дидактические материалы мгу школе. никольский 5 кл тематические тесты. математика 5 класс дидактические материалы никольский. учебник по математике фгос.Математика дидактические материалы. дидактика математика. по дидактическому материалу. математика 5 класс дидактические материалы.Математика 6 класс мерзляк деление дробей. дидактические материалы по математике 6 класс мерзляк. математика 6 класс мерзляк умножение дробей. умножение дробей дидактический материал 6 класс.Дидактические материалы 6 класс мерзляк. математика 6 дидактические материалы мерзляк. математика 6 класс мерзляк дидактические материалы. сборник дидактических материалов по математике 6 класс мерзляк.