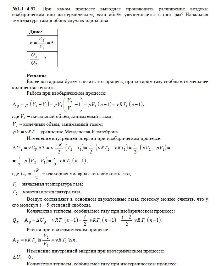
Нормальные условия состояния газа. давление газа при нормальных условиях. нормальные условия для газа в физике. параметры идеального газа при нормальных условиях.Удельная теплоемкость при постоянном давлении формула. молярная теплоемкость газа при постоянном объеме. молярная теплоемкость газа при постоянном давлении. молярная теплоемкость определяется по формуле.Давление газа температура газа теплоемкость газаТеплоемкость идеального газа при изопроцессах.Как определить удельную теплоемкость газа. как зависит теплоемкость идеального газа от температуры. зависимость изохорной теплоемкости от температуры. зависимость изобарной теплоемкости от температуры.Давление газа температура газа теплоемкость газаТеплопроводность зависит от температуры формула. формула теплопроводности идеального газа. зависит теплоёмкость газа от температуры. зависимость теплопроводности газа от давления.Давление газа температура газа теплоемкость газаДавление газа температура газа теплоемкость газаКак найти молярную теплоемкость газа. удельные теплоемкости газов формулы.Давление газа температура газа теплоемкость газаДавление газа температура газа теплоемкость газаТеплоемкость многоатомных газов. теплоемкость двухатомного идеального газа. работа идеального газа презентация. теплоемкость идеального газа уравнение майера.Как найти молярную теплоемкость. молярная теплоемкость определяется по формуле. молярная теплоемкость газа при постоянном давлении формула. формула для теплоемкости идеального газа при постоянном давлении.Внутренняя энергия газа формула через теплоемкость. внутренняя энергия идеального газа через молярную теплоемкость. теплоемкость при постоянной температуре. внутренняя энергия газа формула через молярную теплоемкость.Удельная теплоемкость газа при постоянном давлении формула. молярная теплоёмкость идеального газа формула. теплоемкость идеального газа формула. формула для теплоемкости идеального газа при постоянном давлении.Теплоемкость идеального газа рисунок. газ в сосуде. теплоемкость идеального газа при постоянном давлении. давление газа при нагревании.Формула майера для теплоемкостей идеального газа. формула теплоемкости газа в физике. теплоемкость моля идеального газа формула. каково соотношение между ср и сv для идеального газа?.Удельная теплоемкость вещества и молярная теплоемкость газа. удельная теплоемкость газа при постоянном давлении формула. молярная теплоемкость вывод формулы. удельная теплоемкость идеального газа при постоянном давлении.Теплоемкость идеального газа формула. молярная теплоемкость смеси газов. молярная теплоемкость смеси газов формула. молярная теплоемкость смеси газов при постоянном давлении.Внутренняя энергия идеального газа теплоемкости от температуры. как найти молярную теплоемкость газа формула. теплоемкость двухатомного газа формула. изменение внутренней энергии многоатомного идеального газа.Давление газа температура газа теплоемкость газаЗависимость теплоемкости газа от температуры. график зависимости теплоемкости от температуры газа. теплоемкость газа от температуры график. нелинейная зависимость теплоемкости от температуры.Давление газа температура газа теплоемкость газаКак найти плотность газа через давление и температуру. как найти давление газа через плотность. зависимость давления от плотности газа формула. зависимость давления газа от температуры формула.Давление газа температура газа теплоемкость газаМолярная теплоемкость газа при постоянном объеме. удельная теплоемкость газа при постоянном давлении равна. теплоемкость газа при постоянном давлении c формула. удельная теплоемкость газа при постоянном давлении формула.Давление газа температура газа теплоемкость газаУдельная теплоемкость при постоянном давлении формула. удельная теплоемкость газа при постоянном объеме формула. молярная теплоемкость формула при постоянном давлении. теплоемкость газа формула при постоянном давлении.Теплоемкость двухатомного идеального газа. теплоемкость одноатомного идеального газа. формула для двухатомного идеального газа. cv идеального газа.Внутренняя энергия при постоянной температуре. внутренняя энергия идеального газа зависит от температуры. формула зависимости энергии идеального газа от температуры. изменение внутренней энергии идеального газа зависит от.Молярная теплоемкость смеси двух газов при постоянном давлении. объем идеального газа при нормальных условиях. молярная теплоемкость азота при нормальных условиях. теплоемкость газа при нормальных условиях.Понятие о теплоёмкости формула. теплоемкость через показатель адиабаты. теплоемкость тела формула. теплоемкости процессов через показатель адиабаты.Расширение идеального газа при нагревании. нагревание газа. нагревание при постоянном давлении. работа газа при нагревании.Теплоемкость газа через степени свободы.Внутренняя энергия одного моля одноатомного идеального газа. формулу для внутренней энергии одного моля идеального газа. внутренняя энергия одного моля идеального одноатомного газа формула. внутренняя энергия u одного моля идеального газа равна: формула.Теплоемкость газа формула при постоянном давлении. удельная теплоемкость газа при постоянном давлении формула. теплоемкость при постоянном объеме вывод формулы. теплоемкость при постоянном давлении вывод формулы.Давление газа температура газа теплоемкость газаУдельная теплоемкость углекислого газа при постоянном давлении. удельная молярная теплоемкость при постоянном давлении. удельная теплоемкость углекислого газа при постоянном объеме. теплоемкость углекислого газа при постоянном давлении.Теплоемкость трехатомных газов таблица. теплоемкость газа. теплоемкость многоатомных газов. теплоемкость трехатомного газа.