Удиви меня
Алгоритм конечного автомата
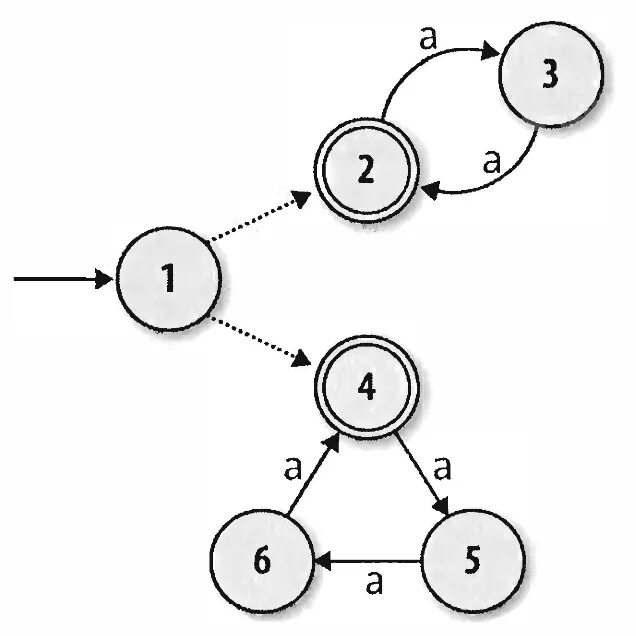
Конечный автомат пример. схема конечного автомата. пример схемы конечного автомата.
Алгоритм конечного автомата
Схема конечного автомата. конечный автомат состояний. конечный автомат пример. примеры конечных автоматов пример.
Алгоритм конечного автомата
Схема конечного автомата. конечный автомат пример. пример схемы конечного автомата. блок схема конечного автомата.
Алгоритм конечного автомата
Конечный автомат. конечный автомат пример. примеры конечных автоматов пример. проектирование конечного автомата.
Алгоритм конечного автомата
Блок схема конечного автомата. построение конечного автомата. алгоритмы построения конечных автоматов.
Алгоритм конечного автомата
Детерминированные конечные автоматы. конечный автомат пример. детерминированного конечного автомата.
Алгоритм конечного автомата
Таблица состояний конечного автомата. конечный автомат пример. примеры конечных автоматов пример. примеры детерминированных конечных автоматов.
Конечный автомат. конечный автомат пример. конечный автомат в теории алгоритмов. примеры конечных автоматов пример.
Конечный автомат. схема конечного автомата. +конечный +автомат +fsm. конечный автомат пример.
Алгоритм конечного автомата
Минимизация конечного автомата. таблица состояний конечного автомата. понятие конечного автомата. минимизация автомата пример.
Алгоритм конечного автомата
Схема конечного автомата. диаграмма конечного автомата микроволновки. структура конечного автомата. алгоритм работы конечного автомата.
Схема конечного автомата. структурная схема конечного автомата. конечный автомат для объекта.
Структурная схема конечного автомата. конечный автомат пример. граф конечного автомата. недетерминированный конечный автомат.
Алгоритм конечного автомата
Конечный автомат. схема конечного автомата. конечный автомат состояний. описание конечного автомата.
Конечный автомат. конечный автомат пример. принцип работы конечного автомата. примеры конечных автоматов пример.
Алгоритм конечного автомата
Алгоритм конечного автомата
Алгоритм конечного автомата
Алгоритм конечного автомата
Конечный автомат таблица. конечные автоматы для чайников. таблица состояний автомата. таблица состояний конечного автомата.
Алгоритм перехода от автомата мура к автомату мили.
Алгоритм конечного автомата
Алгоритм конечного автомата
Конечный автомат таблица. таблица переходов конечного автомата. детерминированный конечный автомат таблица. таблица переходов детерминированного конечного автомата.
Конечный автомат пример. схема конечного автомата. понятие конечного автомата. пример схемы конечного автомата.
Способы задания конечных автоматов. табличный способ задания автомата мили. способы задания автомата мура. конечный автомат пример.
Алгоритм конечного автомата
Алгоритм конечного автомата
Алгоритм конечного автомата
Алгоритм конечного автомата
Диаграмма конечного автомата микроволновки. конечный автомат. детерминированный конечный автомат. конечный автомат моделирующий переключатель.