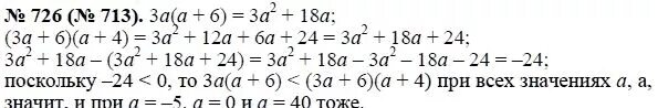
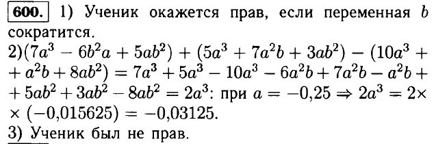
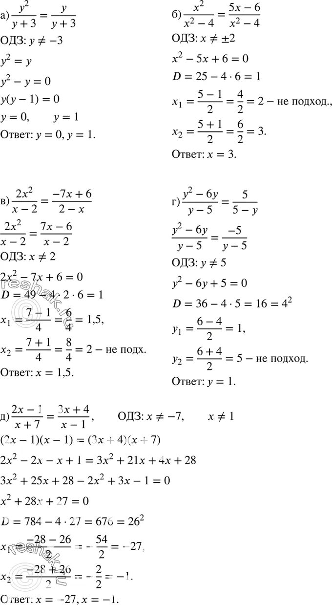
Алгебра 8 класс макарычев миндюк нешков суворова. алгебра 8 класс номер 515. алгебра 8 класс номер 727. алгебра 8 класс макарычев 515.Алгебра 8 класс макарычев гдз уравнения. решение упражнений алгебре 8 класс. гдз алгебра 8 класс номер 600. алгебра 8 класс макарычев номер 600.Алгебра 8 класс макарычев номер 546 гдз. алгебра 8 класс макарычев упражнения 539. алгебра 8 класс гдз номер 539. алгебра 8 класс макарычев номер 546 а б.Номер 600 по алгебре 8 класс макарычев. алгебра восьмой класс макарычев номер 600. гдз по алгебре 8 класс номер 600. гдз алгебра 8 класс макарычев 600.Алгебра 8 класс макарычев номер 377. алгебра 8 класс макарычев номер 376. макарычев 8 класс алгебра задание 377. алгебра 8 класс макарычев номер 8.Номер 570 по алгебре 7 класс. макарычев 7 класс номер 570. bn корень bn-1 bn+1. алгебра 9 класс упр 625.Алгебра 7 класс макарычев номер 600. алгебра 7 класс номер 600. алгебра 7 класс макарычев задания. гдз по алгебре 8 класс макарычев номер 600.Гдз по алгебре 8 класс макарычев номер 600. гдз алгебра 8 класс макарычев 600. гдз алгебра 8 класс макарычев миндюк номер 600. алгебра восьмой класс гдз номер 600.Алгебра 8 класс макарычев 541. номер 541 по алгебре 8 класс макарычев. гдз 8 класс алгебра номер 541. алгебра 8 класс макарычев номер 541 решение.Алгебра 8 класс макарычев 322. гдз по алгебре 8 класс номер 322. алгебра макарычев 8 номер 322. гдз по алгебре 8 класс макарычев.Алгебра 8 класс макарычев номер 596. гдз по алгебре 8 класс макарычев 596. алгебра 7 класс макарычев номер 600. гдз по алгебре 8 класс номер 596.Алгебра 8 класс макарычев номер 85. алгебра 8 класс макарычев номер 696. номер 85 по алгебре 8 класс. гдз по алгебре 8 класс номер 85.Алгебра 8 класс макарычев номер 33. алгебра 8 класс гдз номер 33. гдз по алгебре 8 класс макарычев 33. гдз по алгебре 8 класс 33,7.Гдз по алгебре 8 класс номер 56 57 59. 56 алгебра 8. 1079 упр алгебра. 5 56 алгебра 8 класс.Алгебра 8 упр 600Гдз по алгебре 8 класс номер 133. алгебра 8 класс макарычев гдз номер 133. алгебра 8 класс макарычев гдз номер 132. гдз по алгебре 8 класс макарычев.Алгебра 8 класс макарычев номер 580. алгебра 8 класс макарычев гдз 580. алгебра восьмой класс макарычев номер 580. алгебра 8 класс макарычев номер 580 задание.Алгебра 8 класс макарычев номер 600. гдз по алгебре восьмой класс номер 600. гдз алгебра 8 класс макарычев 600. алгебра 8 класс макарычев 144.Гдз алгебра 8 класс макарычев номер 61. алгебра 8 класс макарычев гдз. номер 377 по алгебре 8 класс макарычев. гдз по алгебре 8 класс номер 61.Алгебра 8 класс макарычев номер 600. учебник по алгебре 8 класс номер 600. гдз алгебра 8 класс номер 600. гдз по алгебре 8 кл номер 600.Алгебра 8 класс колягин 138. гдз алгебра 8 класс байзаков. алгебра 8 класс колягин номер 138 гдз. алимов ш а алгебра 8 класс.Алгебра 8 класс преобразование рациональных выражений. алгебра 8 класс тождественные преобразования рациональных выражений. преобразование выражений 8 класс алгебра. преобразование дробно-рациональных выражений 7 класс алгебра.Алгебра 8 класс макарычев 1057. алгебра макарычев 8 класс номер 1057 гдз. номер 1057 по алгебре 8 класс макарычев. алгебра 8 класс номер 1057.Алгебра 8 класс макарычев 61. гдз по алгебре 8 класс макарычев 61. номер 61 алгебра 8. гдз по алгебре 8 класс макарычев.Номер 50 по алгебре 8 класс. алгебра 8 класс макарычев номер 50. 8 класс алгебра теляковский номер 50. решение алгебра 8 класс готовимся.Алгебра 8 класс макарычев. гдз по алгебре 8 класс. гдз по алгебре 8 класс макарычев. алгебра 8 класс номер 1000.Алгебра 8 класс номер 408. гдз по алгебре 8 класс макарычев номер 408. алгебра 8 класс макарычев 407. алгебра 8 класс номер 410.Макарычев 8 138. алгебра 8 класс номер 138. гдз по алгебре 8 класс макарычев 138. гдз по алгебре 8 класс номер 138.Алгебра 8 класс макарычев номер 394. алгебра 8 класс номер 394 гдз. алгебра 8 класс макарычев квадратные корни. гдз по алгебре 8 класс макарычев 394.Алгебра 8 класс номер 106. алгебра 9 класс макарычев 106. макарычев 8 класс алгебра построение графиков. алгебра 7 класс номер 106 гдз.Контрольные задания по алгебре 8 класс макарычев. контрольная работа по алгебре 8 класс квадратные корни. контрольная работа квадратные корни 8 класс макарычев. алгебра 8 класс макарычев контрольные работы.Алгебра восьмой класс макарычев номер 600. гдз по алгебре восьмой класс номер 600. гдз по алгебре 8 класс макарычев номер 600. решение 600 алгебра 8 класс макарычев.Гдз по математике 6 класс. математика 6 класс никольский номер 600. гдз по математике 6 класс никольский. математика 6 класс никольский никольский.Алгебра 8 упр 600Алгебра 8 класс макарычев номер 108. гдз по алгебре номер 108. номер 108 по алгебре 8 класс. алгебра 8 класс упражнение 108.626 алгебра 8 класс макарычев. алгебра 8 класс макарычев 626 таблица. алгебра 8 класс макарычев номер 623. гдз по алгебре 8 класс 626.726 макарычев 8. гдз алгебра 8 класс макарычев 726. гдз алгебра 8 макарычев 725. алгебра 8 класс номер 726.Алгебра 8 класс макарычев 140. гдз по алгебре 8 класс номер 140. алгебра 8 класс макарычев гдз. гдз 8 класс 8 алгебра макарычев.Алгебра 8 класс макарычев. гдз макарычев 8. алгебра 8 класс макарычев гдз. гдз по алгебре 8 класс макарычев номер 24.Алгебра 8 класс номер 156. алгебра 8 класс макарычев номер 156. гдз по алгебре 8 класс макарычев номер 156. алгебра 8 класс макарычев 156 б.