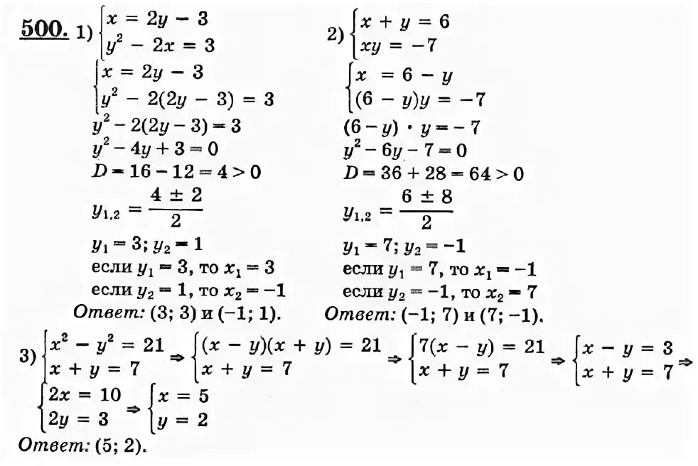
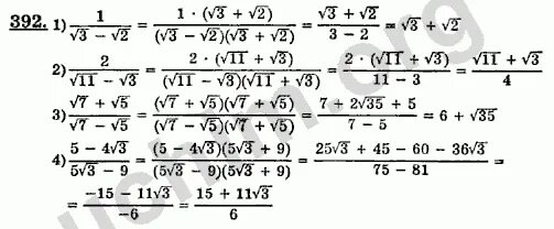
Алгебра 11 класс алимов годовая контрольная. кр по алгебре 10 класс алимов. годовая контрольная 10 класс алгебра алимов. итоговая контрольная работа по алгебре 10 класс алимов с решением.2 соревнующийся бригады рабочих должны были изготовить по 240 деталей. алгебра 8 контрольные (алимов ш.а.). алгебра 8 контрольные (алимов ш.а.) контрольная работа 2. контрольные работы по алгебре 8 алимов.Алгебра 8 контрольные (алимов ш.а.). алгебра 8 контрольные (алимов ш.а.) контрольная работа 2. 6 · (25 − 131) решение. (25 − 131) решение.Алгебра 8 контрольные (алимов ш.а.). две соревнующиеся бригады 240 деталей. алгебра 8 контрольные (алимов ш.а.) контрольная работа 2. 2 соревнующийся бригады рабочих должны были изготовить по 240 деталей.Контрольная по алгебре 10 класс алимов степенная функция. контрольная работа по алгебре 10 класс алимов ответы. кр степенная функция 10 класс алимов. кр 2 по алгебре 10 класс алимов.Алгебра 8 класс номер 633. гдз 633 алгебра 8 класс. 633 по алгебре 8 класс макарычев. гдз алгебра 8 класс байзаков.Алгебра 8 контрольные работы алимовПримеры для 8 класса с ответами. математика 8 класс задания. алгебра 8 класс самое сложное. математические задания по алгебре за 8 класс.Алгебра 8 класс 485. гдз по алгебре номер 485 8 класс. алгебра 8 класс номер 1042. гдз по алгебре 8 класс номер 1042.Алгебра 8 контрольные работы алимовАлгебра 8 класс алимов. гдз по алгебре 8 класс алимов. алгебра 8 класс номер 697. гдз по алгебре 8 класс колягин ткачёва фёдорова шабунин.Алгебра 8 алимов рабочая тетрадь. 731 алгебра 8. алгебра 8 класс 153. номер 16.48 алгебра 8 класс.Учебник по алгебре 8 класс колягин ткачева. алгебра 8 класс колягин сидоров. гдз по алгебре 8 класс колягин ткачёва фёдорова шабунин учебник. алгебра 8 класс колягин гдз учебник.Алгебра 8 контрольные работы алимовАлгебра 8 контрольные работы алимовАлгебра 8 класс номер 398. алгебра 8 класс алимов. доказательства неравенств 8 класс алгебра колягин. если обе части неравенства возвести в квадрат.505 задание алгебра 8 класс. алгебра 8 класс ш.а. алимов, ю.м. колягин, ю.в. сидоров. алгебра 8 класс алимов. номер 505 по алгебре 8 класс макарычев.Алгебра 8 контрольные работы алимовАлгебра 8 контрольные работы алимовАлгебра 8 контрольные работы алимовАлгебра 8 контрольные работы алимовАлгебра 8 контрольные работы алимовАлгебра 8 контрольные работы алимовАлгебра 8 контрольные работы алимовКонтрольная алгебра 8 класс квадратные корни. контрольная работа по алгебре 8 класс квадратные корни. кр по алгебре 8 класс квадратные корни. алгебра 8 класс контрольная работа квадратные корни 2 вариант.Алгебра 8 контрольные работы алимовАлгебра 8 контрольные работы алимовАлгебра 8 контрольные работы алимовАлгебра 8 контрольные работы алимовАлгебра 8 контрольные работы алимовАлгебра 8 контрольные работы алимовАлгебра 8 контрольные работы алимовАлгебра 8 контрольные работы алимовАлгебра 8 контрольные (алимов ш.а.). гдз 7 класс по алгебре упражнение 641. учебник по алгебре 8 класс шабунин. № 640 алгебра 7 класс.622 алгебра 8 класс макарычев. алгебра 8 класс макарычев 622 задача. номер 622 по алгебре 8 класс колягин. гдз по алгебре 8 класс номер 622.Алгебра 8 контрольные работы алимовАлгебра 8 контрольные работы алимовАлгебра 8 контрольные работы алимовЭкзамен по алгебре 8 класс с ответами. алгебра 8 класс алимов. подготовка к экзамену по алгебре 8 класс. алгебра 8 класс шабунин.Алгебра 8 контрольные работы алимовАлгебра 8 контрольные работы алимовГдз по алгебре 8 класс колягин номер 493. гдз по алгебре 8 класс макарычев 493. алгебра 7 класс колягин номер 493. алгебра 8 класс колягин номер 493 решение.Гдз по алгебре 8 класс номер 613. номер 613 по алгебре 8 класс макарычев. гдз по алгебр 8 класс алимов номер 613. алгебра 8 класс колягин 613.Алгебра 8 класс алимов. номер 163 по алгебре 8 класс. алгебра 8 класс ш.а. алимов, ю.м. колягин, ю.в. сидоров. гдз по алгебре 8 класс номер 163.Алгебра 8 контрольные работы алимовКонтрольная работа 1 по алгебре 10 класс алимов действительные числа. контрольная по алгебре 11 алимов. контрольная по алгебре 10 класс 1 четверть алимов. кр по алгебре 10 класс алимов.Алгебра 8 класс номер 591. алгебра 8 класс колягин номер 591 а. гдз по алгебре 8лкасс номер 591. готовое домашнее задание по алгебре номер 591.Алгебра 8 класс колягин номер 653. номер 654 по алгебре 8 класс алимов. гдз по алгебре 8 класс колягин. алимов 8 класс алгебра учебник.Алгебра 8 класс колягин номер 486. гдз по алгебре 8 класс колягин. алгебра гдз 8 класс колягин 486. гдз алгебра номер 486 8 класс.Алгебра 518. алгебра 8 класс шабунин. алгебра 8 класс макарычев номер 313. алгебра 8 класс номер 534 гдз.Гдз по алгебре 8 класс колягин ткачёва фёдорова шабунин учебник. алгебра 8 класс номер 493. номер 493 по алгебре 8 класс колягин.Алгебра 8 контрольные работы алимовУчебник по алгебре 8 колягин. алгебра 8 класс колягин учебник. приближенные значения алгебра 8 класс. решить уравнения 460-464.Алгебра 8 класс номер 188. алгебра 8 класс номер 189. алгебра 7 класс макарычев номер 189. 189 номер.Алгебра 8 контрольные работы алимовГдз алгебра 8 класс номер 667. задание по алгебре номер 667 8 класс. поурочные разработки по алгебре 8 класс алимов. алгебра алимов 8 класс 1995.Алгебра 8 контрольные работы алимовКонтрольные задания по алгебре 8 кл. контрольная по алгебре 8 класс задачи. контрольные работы работы по алгебре 8 класс. контрольная работа по алгебре 8 класс макарычев с ответами.Алгебра 8 класс колягин номер 621 с рисунком. алимов ш а алгебра 8 класс. алгебра 8 класс колягин сидоров. алгебра 8 класс колягин неравенства.Алгебра 8 контрольные работы алимовАлгебра 8 контрольные работы алимовАлгебра 8 класс колягин номер 624. алгебра 8 класс алимов 624. номер 624 по алгебре 8 класс колягин. гдз по алгебре 8 класс колягин.Алгебра алимов 10-11 класс тригонометрические формулы. тригонометрические формулы 10 класс алимов. алгебра 10 класс алимов гдз тригонометрические формулы. номер 458 алгебра 10 алимов.Алгебра 8 контрольные работы алимовАлгебра 8 контрольные работы алимов-б/2а алгебра 8 класс. алгебра 8 класс колягин номер 17. алгебра 8 класс номер 155. алгебра 8 класс колягин номер 45.Алгебра 8 контрольные работы алимовНомер 664 по алгебре 8 класс. алгебра 8 класс колягин 624. алгебра 8 класс макарычев 664. учебник по алгебре 8 класс номер 664.Алгебра 8 контрольные работы алимовАлгебра 8 класс алимов упражнение 662. гдз по алгебре 8 класс колягин номер 662. алгебра 8 класс упражнения с решениями. решение задач по алгебре 8 класс.Алгебра 8 класс макарычев 537. номер 537 по алгебре 8 класс макарычев. алгебра 8 класс номер 537. гдз по алгебре 8 класс 537.Алгебра 8 контрольные работы алимов658 алгебра 8. номер 658 по алгебре 8 класс. гдз алгебра 8 класс 794. гдз по алгебре 8 класс номер 769.Алгебра 8 класс макарычев 392. алгебра 8 класс номер 392. гдз по алгебре 8 класс макарычев номер 392. задачи 392 по алгебре 8 класс.Алгебра 8 контрольные работы алимовАлгебра 8 класс алимов. решебник алгебра 8. гдз по алгебре 8 класс колягин проверь себя. алгебра 8 класс алимов проверь себя.Алгебра 8 контрольные работы алимовУчебник алимова алгебра 7-9 класс. алимов 8 класс алгебра учебник. учебник по алгебре 8 класс алимов. алимов 8 класс математика учебник.Алгебра 8 класс алимов 1991 год. алгебра 8 класс алимов 1994 год. контрольная по алгебре 8 класс алимова. алгебра 10 класс номер 187.Алгебра 8 контрольные работы алимовКонтрольные задания по алгебре 8 кл. кр по алгебре 8 класс рациональные дроби. контрольные задания по алгебре для 8 класса мерзляк. контрольная по алгебре 8 класс по теме рациональные дроби.Колягин 8 класс неравенства. гдз от путина по алгебре 8 класс. самостоятельные работы по алгебре 8 класс колягин. поурочное планирование по алгебре 8 класс алимов колягин.