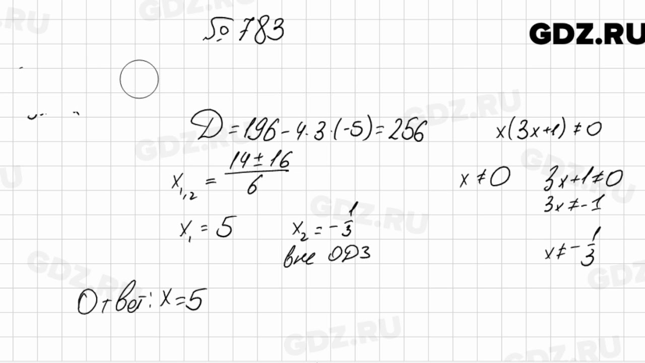
Алгебра 8 класс номер 783Алгебра 8 класс номер 785. алгебра 8 класс номер 782. гдз по алгебре 8 класс мерзляк номер 543.Алгебра 8 класс номер 783Решение по алгебре 8 класс мерзляк. мерзляк 8 класс алгебра гдз номер 8. алгебра 8 класс мерзляк номер 540. гдз по алгебре 8 класс мерзляк полное объяснение.Алгебра 8 класс макарычев 783. гдз по алгебре 8 класс макарычев номер 783. гдз алгебра 8 класс макарычев 785. гдз 8 класс 8 алгебра макарычев.Гдз алгебра номер 102. гдз по алгебре 8 класс номер 349 повторение. гдз по алгебре задачник 7 класс итоговая повторение номер 10 8 на стр 185. упражнение 102 8 класс.Алгебра 8 класс номер 783Алгебра 8 класс номер 783Гдз по алгебре 8 класс номер 785. номер 785 по алгебре 8 класс макарычев. гдз по алгебре 8 класс номер 787.Алгебра 8 класс номер 783Алгебра 8 класс номер 783Алгебра 8 класс макарычев миндюк нешков суворова. алгебра 8 класс номер 515. алгебра 8 класс номер 727. алгебра 8 класс макарычев 515.Алгебра 8 класс номер 783782 алгебра 8 макарычев. номер 782 по алгебре 8 класс. гдз по алгебре 8 класс макарычев номер 782. гдз по алгебре 8 класс номер 782.Алгебра 8 класс номер 783Алгебра 8 класс номер 783Алгебра 8 класс номер 783,785. учебник алгебры 8 класс номер 783. номер 783 алгебра 8 класс не гдз.Номер 786 алгебра 8 класс. гдз по алгебре 8 класс номер 786. алгебра 7 класс номер 786. алгебра 8 класс номер 789.Гдз номер 773. номер 773 6 класс. математика 6 класс 773. математика 6 класс гдз номер 773.Математика 5 класс 421. математика пятый класс номер 421. математика 5 класс 1 часть номер 421. матем 6 класс номер 421.Контрольная работа по алгебре 8 кл квадратные корни. контрольная работа алгебра 8 класс квадратные корни. контрольная работа 8 кл квадратные корни. контрольная по алгебре 8 класс квадратные корни.Гдз по алгебре 8 класс мерзляк. номер 816 по алгебре 8 класс. алгебра 8 класс мерзляк номер 503.617 алгебра 8 класс макарычев. гдз по алгебре 8 класс номер 617. гдз по алгебре 8 класс макарычев номер 617. алгебра 8 класс макарычев номер 617 с таблицей.Алгебра 8 51. номер 51 по алгебре 8 класс. 54 алгебра 8. алгебра 8 класс 54.Алгебра 8 класс номер 783Алгебраические дроби 8 класс задания. задания алгебра 7 класс алгебраические дроби. алгебраические дроби 7 класс задания. алгебраические дроби задания с решениями 8 класс.Алгебра 8 класс номер 783Гдз по математике 6 класс виленкин номер 493. математика 5 класс номер 493 виленкин. математика 6 класс номер 495. математика 6 класс виленкин 497.Гдз по алгебре 8 класс макарычев миндюк нешков суворова номер 601. алгебре за 8 класс макарычев, миндюк, нешков, суворова. номер 601 по алгебре 8 класс макарычев. 8 класс алгебра миндюк номер 601.Алгебра 8 класс номер 783Номер 329 по алгебре 8 класс. алгебра 8 класс никольский учебник.Алгебра 8 класс номер 785. гдз по алгебре 8 класс макарычев 785. гдз по алгебре 8 класс номер 785. алгебра 8 класс макарычев номер 784.Алгебра 8 класс макарычев номер 813. гдз по алгебре макарычев номер 813. алгебра 7 класс макарычев номер 813. гдз по алгебре 8 класс номер 813.Алгебра 8 класс номер 735. гдз по алгебре 8 класс номер 735. алгебра 8 класс макарычев номер 735. гдз по алгебре 8 класс номер 726.Гдз по алгебре 8 класс номер 138. алгебра 8 класс макарычев гдз номер 138. миндюк алгебра 8 класс номер 138. алгебра 8 класс номер 137.Алгебра 8 класс макарычев 373. алгебра 8 класс номер 373. алгебра 8 класс макарычев 374. алгебра 8 класс макарычев 371.Гдз по алгебре. гдз алгебра 8 класс. гдз гдз по алгебре 8. гдз 340 алгебра 8 класс.Алгебра 8 класс макарычев 782. гдз по алгебре 8 класс макарычев номер 782. гдз по алгебре 8 класс номер 782. алгебра 8 класс номер 783,785.Алгебра 8 класс номер 783Гдз номер 783. вазная 11 алимов.