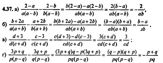
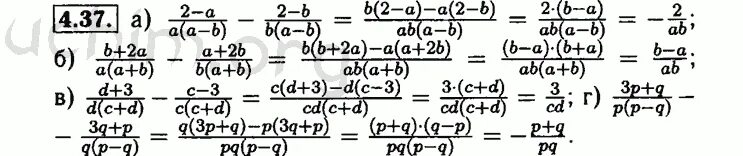
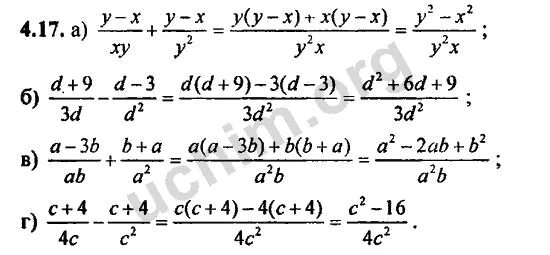
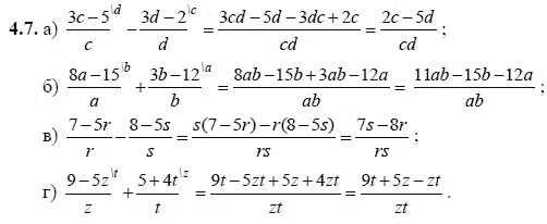
Алгебра 8 класс мордкович номер 4.7Алгебра 8 класс макарычев номер 838. алгебра 8 класс мордкович. алгебра 7 класс номер 838.Алгебра 8 класс мордкович номер 4.7Алгебра 8 класс мордкович номер 4.7Алгебра 8 класс мордкович номер 4.7Алгебра 8 класс мордкович номер 4.737.4 мордкович 8 класс алгебра. алгебра 7 класс номер 37.4.Повторение 8 класс алгебра. алгебра 7 класс мордкович номер 29,8. 33.22 мордкович 8. алгебра 8 класс задание 50 70 72.Алгебра 8 класс мордкович номер 4.7Алгебра 8 класс мордкович номер 33.9. номер 968 по алгебре 8 класс.Алгебра 7 класс мордкович 8.34. алгебра 8 класс мордкович номер 6.12. алгебра 8 класс мордкович номер 33.1. алгебра 8 класс номер 24.8 мордкович.Алгебра 8 класс мордкович номер 4.7Алгебра 8 класс мордкович номер 4.7Алгебра 8 класс мордкович номер 4.7Алгебра 8 класс мордкович номер 4.7Алгебра 8 класс мордкович номер 4.7Алгебра 8 класс мордкович номер 19.39. алгебра 8 класс мордкович номер 19.25. алгебра 8 класс мордкович номер 19.6.Алгебра 8 класс мордкович номер 4.7Итоговое повторение 7 класс алгебра. алгебра 7 класс мордкович. мордкович 7 класс алгебра 33.22. алгебра 7 класс мордкович 38.9.Алгебра 9 класс мордкович номер 20.12 видео урок. алгебра 8 класс мордкович номер 23.12. алгебра мордкович 8 класс номер 37. 26.Графическое решение уравнений 7 класс мордкович. номер 20.38 алгебра 7 класс мордкович.Алгебра 8 класс мордкович номер 19.8. алгебра 8 класс мордкович номер 19.6.Алгебра мордкович 8 класс номер 24б17 видео. алгебра 8 класс мордкович номер 24.4. алгебра 8 класс мордкович номер 30.2.Алгебра 8 класс мордкович номер 4.7Мордкович 8 класс задачник. алгебра мордкович 1.58 8 класс. алгебра задачник 8 класс 1995.Алгебра 8 класс мордкович номер 4.7Алгебра 8 класс мордкович номер 4.7Мордкович 8 класс алгебра задачник. алгебра 9 класс мордкович номер 20.12 видео урок.Алгебра 8 класс мордкович номер 4.7Алгебры 8 класс мордкович номер 17.Мордкович 8 класс алгебра задачник.Алгебра 8 класс номер 6.4.Алгебра 8 класс мордкович номер 4.7Алгебра 10 класс мордкович.Алгебра 8 класс мордкович номер 4.7Алгебра 8 класс мордкович.Номер 20.16 в алгебра 8 класс мордкович. 1091 геометрия 9. учебник по алгебре 7 класс мордкович номер 20.32. алгебра 7 класс упражнение 20.Мордкович 8 класс алгебра 23.1 номер.Мегаботан. алгебра 8 класс макарычев номер 897.Алгебра 8 класс мордкович номер 8.8. мордкович номер 1.8 8 класс. алгебра 8 класс мордкович номер 1.8..Алгебра 8 класс мордкович номер 21.2.Алгебра 8 класс мордкович номер 4.7Алгебра 8 класс мордкович номер 17.48. алгебра 8 класс мордкович номер 23.3.Алгебра 8 класс мордкович номер 18. алгебра 7 класс мордкович номер 4.8. алгебра восьмой класс номер семь. алгебра 8 класс номер 7.25.37.4 мордкович 8 класс алгебра. 8 класс алгебра мордкович 20.37.Мордкович 8 класс алгебра задачник. задачник по алгебре 8 класс мордкович.Алгебра 8 класс мордкович номер 4.7Алгебра 8 класс мордкович номер 24.7. номер 24.5 по алгебре 7 класс мордкович.Алгебра 8 класс мордкович 19,29.Алгебра 8 класс мордкович номер 4.7Алгебра 8 класс мордкович номер 4.7Алгебра 8 класс мордкович номер 4.7Домашние задания по алгебре за 7 класс.Алгебра 8 класс мордкович номер 4.7Мордкович. алгебра. 8 кл мордкович. ндз по алгебре 8 классмордкович.Алгебра 8 класс мордкович номер 4.72.4 алгебра 8 класс мордкович. мордкович 8 класс 12.2. алгебра 7 класс мордкович номер 8.33.Алгебра 8 класс мордкович номер 16.31.Алгебра 8 класс номер 605. алгебра 7 класс мордкович 26.11. алгебра 8 класс номер 880.Алгебра 8 класс мордкович.Алгебра 9 класс мордкович. алгебра 8 класс мордкович номер 33.6.Решебник по алгебре 8 класс мордкович. алгебра 7 класс мордкович номер 4.8. алгебра 8 класс мордкович номер 24.7.