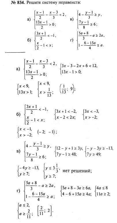
Алгебра 7 класс макарычев 834. алгебра 7 номер 834. алгебра седьмой класс номер 834. гдз по алгебре 7 класс макарычев номер 834.Алгебра 7 класс макарычев номер 834. гдз по алгебре 7 класс макарычев 834. алгебра 7 класс номер 834. алгебра 7 класс макарычев задания 834.7 класс алгебра номер 834 835 833. алгебра 7 класс макарычев номер 834. алгебра 7 номер 834. алгебра седьмой класс номер 834.Алгебра номер 111 15х²дз макарычев.Алгебра 7 класс макарычев номер 834. гдз алгебра 7 класс макарычев 834. номер 834 по алгебре 7 класс. алгебра 7 класс 834 упражнение.Алгебра 7 класс номер 834. гдз по алгебре 7 класс атанасян номер 834. гдз по алгебре 7 класс номер 834. номер 834 по алгебре 7 класс макарычев.Номер 834 по алгебре 7 класс. алгебра 7 класс макарычев номер 834. алгебра 7 класс макарычев задания 834. гдз алгебра 7 класс макарычев 834.Алгебра 7 класс номер 834. трехчлен в виде произведения двух одинаковых множителей. представь трёхчлен в виде произведения двух одинаковых множителей. русский алгебра.Алгебра номер 657. алгебра 7 класс номер 657. номер 680 по алгебре 7. макарычев 7 класс номер 634.Алгебра 8 класс никольский номер 834. алгебра 8 класс номер 835. алгебра 7 класс номер 834. алгебра номер 832.Как решить номер 834 алгебра 7 класс.Алгебра 8 класс никольский номер 834. алгебра 8 класс номер 834. алгебра 7 класс номер 834. гдз по алгебре 8 класс никольский учебник номер 834.Алгебра 7 класс страница 170 номер 834Алгебра 7 класс 1045. алгебра 7 класс макарычев номер 1045. алгебра 7 класс макарычев номер 589. алгебра седьмой класс номер 122.Алгебра 7 класс страница 170 номер 834Алгебра 7 класс номер 170. номер 170 по алгебре 7 класс. проект по алгебры 7 класс страница 170-172. 170 алгебра 11 класс колягин.Алгебра 7 класс 834 упражнение. гдз по алгебре седьмой класс дорофеев упражнение 494. математика 5 класс дорофеев упражнение 802. решебник по алгебре 7 класс задание 834.Алгебра номер 832. алгебра 8 класс номер 835. алгебра номер 831. алгебра номер 830.Гдз по алгебре 8 класс никольский учебник номер 834. алгебра 7 класс макарычев 834. гдз по алгебре 8 класс никольский 834. алгебра 8 класс номер 834.Алгебра 7 класс страница 170 номер 834Номер 170 по алгебре 7 класс. алгебра 7 класс номер 170. номер 170 по алгебре 7 класс ответы. алгебра 7 класс страница 170 упражнение 500.Алгебра седьмой класс номер 351. 351 номер алгебра алимов. гдз по алгебре 7 класс колягин.Алгебра 7 класс макарычев гдз номер 833. алгебра 7 класс макарычев номер 905. гдз по алгебре 7 класс макарычев 833. гдз по алгебре 7 класс макарычев 905.Алгебра 7 класс страница 170 номер 834Алгебра 7 класс макарычев 666. алгебра 7 класс макарычев 1 часть номер 658.Алгебра 7 класс страница 170 номер 834Макарычев углублённый уровень 9 класс.Алгебра 7 класс страница 170 номер 834Алгебра 8 класс номер 834. алгебра 7 класс номер 834. номер 834 по алгебре 7 класс макарычев. алгебра 7 класс 1 часть 2014 г решение номера 834.Алгебра 7 класс макарычев гдз 833. алгебра 7 класс макарычев номер 833. алгебра 7 класс номер 833. алгебра 7 класс макарычев миндюк номер 833.Алгебра 8 класс макарычев номер 834. алгебра 8 класс 834. гдз по алгебре 8 класс номер 834. алгебра 8 класс номер 833.Алгебра 7 класс номер 171. алгебра 7 класс номер 172. алгебра 7 класс номер 169. алгебра 7 класс номер 173.Математика номер 170. математика 6 класс номер 170. русский 5 класс номер 170. номер 170 по математике 10 класс.Алгебра 7 класс страница 170 номер 834Математика номер 834. 834 математика 5 класс. гдз 834 математика 5 класс. математика 5 класс номер 833,834.Номер 840 по алгебре 7 класс макарычев. гдз алгебра 7 класс макарычев 840. алгебра седьмой класс номер 840. алгебра 7 класс макарычев гдз номер 840.Гдз по алгебре 7 класс номер 839. алгебра 7 класс макарычев гдз номер 839. алгебра 7 класс макарычев 839. гдз по алгебре 7 класс макарычев номер 839.Алгебра 7 класс макарычев номер 1036. алгебра 7 класс номер 1036. гдз по алгебре 7 класс макарычев номер 1036. алгебра 8 класс номер 1036.Алгебра 7 класс страница 170 номер 834Алгебра 7 класс мерзляк номер 834. номер 834 по алгебре 7 класс. номер мерзляк 834. математика 5 класс мерзляк номер 834.