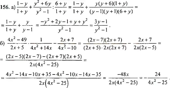
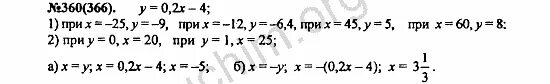
Алгебра 7 класс номер 156. номера 156.Алгебра 7 класс номер 156. 156 алгебра 9. алгебра № 156, 158. номера 156.Алгебра 7 класс мерзляк номер 156. алгебра 7 класс мерзляк 156 видеоурок.Алгебра 7 класс номер 156 страница 37Алгебра 7 класс номер 156 страница 37Алгебра 7 класс номер 156. алгебра 7 класс номер 345 страница 106.Алгебра 7 класс макарычев номер 156. алгебра 7 класс макарычев задания. алгебра 7 класс номер 156. алгебра 7 класс макарычев номер 156 таблица.Алгебра 7 класс номер 156 страница 37Алгебра 156. номера 156. номер 156 по алгебре 8 класс. алгебра 7 класс номер 156.Алгебра 7 класс номер 156. алгебра 7 класс мерзляк полонский номер 156.Алгебра 7 класс номер 156 страница 37Алгебра 7 класс макарычев 1046. алгебра 7 класс номер 1046.Алгебра 9 класс макарычев номер 156. алгебра номер 156 макарычев. алгебра 9 класс номер 156.Алгебра 7 класс номер 156. алгебра № 156, 158.Алгебра 7 класс макарычев 174 задание. алгебра 7 класс макарычев номер 438.Алгебра 7 класс макарычев номер 360. алгебра 8 класс макарычев номер 360. алгебра 7 класс номер 360. алгебра 8 класс номер 360.Алгебра 7 класс мерзляк 156.Алгебра 7 класс номер 289. алгебра 7 класс номер 711. примеры 7 класса по алгебре с ответами и решениями вычисления. алгебра 7 класс задачи 9.12.Алгебра 7 класс номер 1046.Алгебра 7 класс макарычев номер 147. алгебра 7 класс макарычев задания.Алгебра 7 класс номер 156 страница 37Алгебра 156. алгебра 9 класс упражнение 156.Алгебра 7 класс упражнения. алгебра 7 класс страницы.Алгебра 7 класс номер 156 страница 37Алгебра 7 класс номер 156 страница 37Алгебра 7 класс макарычев номер 617.Алгебра 7 класс макарычев номер 1046. алгебра 7 класс номер 1046. алгебра 7 класс номер 1046 стр 206.Алгебра 7 класс макарычев номер 888.Алгебра 7 класс макарычев 800. алгебра 7 класс макарычев номер 800.Алгебра 7 класс макарычев.Алгебра 7 класс макарычев номер 1110. алгебра 7 класс макарычев стр. алгебра 7 класс макарычев номер 1046.Алгебра 7 класс макарычев номер 144. алгебра 7 класс макарычев учебник номер. алгебра 7 класс макарычев номер 7. домашнее задание по алгебре.Алгебра 7 класс макарычев 1046. алгебра 7 класс номер 1046.Алгебра 7 класс номер 156 страница 37Вычислить приближенно с точностью до 0,0001. выполните задание 155-156,округлив данные в них числа с точностью до 0,001. вычислите приближенные выражение 1,01^100 ответ. вычислить приближенно: ln 5 с точностью до 0,001.Алгебра 7 класс номер 156 страница 37Математика 6 класс номер 156.Алгебра 7 класс макарычев номер 558. алгебра 7 класс макарычев 1999. алгебра 7 класс номер 558.Алгебра 7 класс номер 156 страница 37Шпаргалки по алгебре 7 класс мерзляк. алгебра 7 класс мерзляк номер 205.Алгебра 8 класс макарычев номер 154.Алгебра 7 класс макарычев сумма квадратов. алгебра 7 класс макарычев учебник. алгебра 7 класс макарычев 1989. алгебра 7 класс макарычев задания.Алгебра 7 класс номер 156 страница 37Cos156. номера 156.Алгебра 7 класс упражнения 14.12. домашнее задание по алгебре 7 класс номер 543.Алгебра 7 класс номер 156 страница 37Алгебра 7 класс макарычев номер 437. алгебра 7 класс макарычев 386. алгебра 7 класс номер 386.Задача математика 5 класс 156. математика 5 класс округлить число 107,0256348. номер, 156 статистика. е716су 156 номер.Алгебра 7 класс макарычев номер 1068.Алгебра 7 класс мерзляк номер 138. алгебра 7 класс номер 138.Алгебра 7 класс номер 156 страница 37Алгебра седьмой класс мерзляк седьмой номер. алгебра 7 класс мерзляк номер 158. математика 7 класс мерзляк алгебра номер.Алгебра 7 класс макарычев 152. алгебра 7 класс макарычев номер 152. алгебра 7 класса задание 152 упражнение.Алгебра 7 класс макарычев номер 137. алгебра 7 класс макарычев учебник номер 137.Алгебра 7 класс номер 146. алгебра 7 класс колягин стр 146. упражнение 146 по алгебре.Алгебра 7 класс макарычев номер 487. алгебра 7 класс макарычев 487. алгебра 7 класс номер 487, 490.Алгебра 7 класс номер 156 страница 37Алгебра 7 класс номер 156 страница 37Алгебра 7 класс макарычев номер 327. алгебра 7 класс макарычев номер 327 с графиками функций и формулами.Алгебра 7 класс номер 165. алгебра 7 класс макарычев номер 165.Алгебра 7 класс макарычев номер 409. алгебра 7 класс макарычев номер 408.Номер 804 по алгебре 7 класс макарычев. упражнение 804 алгебра 7 класс макарычев. алгебра 7 класс номер.Вычислите 7 класс алгебра. алгебра 7 класс макарычев номер 75. алгебра номер 75 макарычев.Решение уравнений 8 класс алгебра мерзляк. алгебра 8 класс мерзляк уравнения. формулы 8 класс алгебра мерзляк.Алгебра 7 класс номер 194. алгебра 7 класс макарычев номер 194. номер 194 по алгебре 8 класс.Алгебра 7 класс мерзляк номер 707. алгебра 7 класс мерзляк номер 735.Алгебра 7 класс номер 156 страница 37Алгебра 7 класс номер 156 страница 37Алгебра 7 класс макарычев номер 674. алгебра 7 класс номер 674. решение уравнений по алгебре 7 класс макарычев.Алгебра седьмой класс номер 356. алгебра 7 класс номер 356 стр. алгебра седьмой класс номер 356 видеоурок.