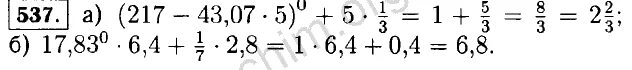
Алгебра 7 класс упражнение 537. покажите по алгебре 7 класс вычислите упражнение 35. алгебра 7 класс найти число 7/15 которого равны 217.Алгебра 7 класс макарычев номер 537Алгебра 8 класс номер 537.Алгебра 7 класс макарычев номер 537Алгебра 7 класс макарычев номер 537Алгебра 7 класс макарычев 1084. алгебра 7 559. алгебра 7 класс макарычев 568. 816 алгебра 7.Алгебра 7 класс макарычев номер 537Алгебра 7 класс колягин номер 537.Номер по алгебре 7 класс мерзляк номер 537. номер 537 по алгебре 7 класс.Алгебра 7 класс упражнение 537. 537 алгебра 10.Номер 921 по алгебре 7. алгебра 7 класс макарычев номер 921.Алгебра 8 класс макарычев 537. номер 537 алгебра 8.Алгебра седьмой класс мордкович номер 32,1.Вычислите 217 - 43,07. вычислите а 217-43.07 5 +5 1/3. 537 макарычев 8 класс. решение задачи 537 класс 6.Алгебра 7 класс макарычев номер 537Алгебра 7 класс макарычев номер 537Алгебра 7 класс макарычев номер 537Алгебра 7 класс макарычев номер 827. алгебра 7 класс номер 827. алгебра 7 класс макарычев номер 1048.Алгебра 7 класс макарычев номер 1083. алгебра 7 класс макарычев 1085.Алгебра 7 класс номер 1086. алгебра 7 класс макарычев номер 1086. алгебра 7 номер 1082.Алгебра 7 класс номер 872. математика 7 класс миндюк макарычев.Алгебре седьмой класс макарычев номер 637. алгебра 7 класс макарычев номер 1076.Алгебра 7 класс макарычев номер 537Алгебра 7 класс макарычев номер 931. алгебра 7 класс макарычев номер 790. алгебра 7 класс макарычев 690. алгебра 7 класс макарычев 975.Алгебра 7 класс макарычев номер 537Алгебра 7 класс макарычев 672.Алгебра 8 класс теляковский номер 537. алгебра номер 537 страница.Алгебра 7 класс макарычев номер 537Алгебра 7 класс макарычев номер 537Алгебра 7 класс упражнение 537. вычислите 217 - 43,07.Алгебра 8 класс номер 537. математика 6 класс номер 537. алгебра 7 класс номер 558. алгебра 7 класс колягин номер 537.Алгебра 8 класс 537.Алгебра седьмой класс упражнение 505 упростите.Алгебра 7 класс макарычев номер 537Алгебра 7 класс номер 484. алгебра 7 класс номер 712. алгебра 7 класс макарычев номер 821.Алгебра 7 класс макарычев номер 537Алгебра 7 класс колягин номер 537. колягин 7 класс алгебра номер 584. как сделать номер 639 по алгебре 7 класс. видео решение номера 810 11 класс колягин.Алгебра 8 класс макарычев 537. учебник по алгебре 8 класс макарычев номер 537.Алгебра 7 класс колягин номер 537. алгебра 7 класс колягин номер 417. алгебра 7 класс колягин номер 432.Алгебра 7 класс номер 862. алгебра 7 класс мерзляк номер 862. алгебра 7 класс мерзляк номер 587.Алгебра 7 класс макарычев темы по порядку. алгебра 7 класс макарычев номер 908.Алгебра 7 класс номер 145 мерзляк. алгебра 7 класс макарычев номер 145. алгебра 7 класс мерзляк номер 1083.Алгебра 7 класс макарычев номер 240.Алгебра 7 класс макарычев номер 537Алгебра 8 класс мерзляк номер 537. алгебра 8 класс номер 537. номер 539 по алгебре 8 класс мерзляк. алгебра 8 класс мерзляк номер.Алгебра 7 класс макарычев номер 191. алгебра 7 класс номер 191. алгебра 7 класс номер 104. алгебра 9 класс макарычев номер 191.Алгебра 7 класс макарычев номер 437. алгебра 7 класс макарычев 386. алгебра 7 класс номер 386.Номер 420 по алгебре 8 класс. домашнее задание по алгебре 8 класс номер 420. домашние задания по алгебре 8 класс номер 428.Алгебра 7 класс макарычев номер 1084. алгебра 7 класс макарычев номер 1076. алгебра 7 класс макарычев номер 756. алгебра 7 класс макарычев номер 821.Алгебра 7 класс макарычев номер 7.Алгебра 7 класс номер 356. алгебра 7 класс мерзляк номер 356. 356 математика 7 класс мерзляк.Алгебра 7 класс макарычев номер 144. алгебра 7 класс макарычев учебник номер. алгебра 7 класс макарычев номер 7. домашнее задание по алгебре.Номер 536 по алгебре 8. номер 536 по алгебре 7 класс мерзляк. алгебра 8 класс макарычев номер 536. 536 атанасян 8.Алгебра 7 класс макарычев номер 537Алгебра 7 класс номер 1097. алгебра 7 класс макарычев номер 1097. алгебра 7 класс номер 768.Алгебра 7 класс макарычев номер 285. задание 285 алгебра 7 класс.Способ группировки алгебра 7 класс задачи. алгебра 7 класс макарычев номер 223. алгебра 7 класс номер 223.Алгебра 8 класс макарычев номер 268.Алгебра 7 класс макарычев 620. алгебра 7 класс ю н макарычев н. номер 620 по алгебре 7 класс.Алгебра 8 класс макарычев номер 654. алгебра 8 класс номер 654. алгебра 9 класс 654 макарыв.Алгебра 7 класс макарычев номер 537Алгебра 7 класс макарычев номер 1172.Алгебра 7 класс номер 367. алгебра 7 класс макарычев номер 369.Алгебра 7 класс макарычев номер 616. математика 7 класс макарычев номер.