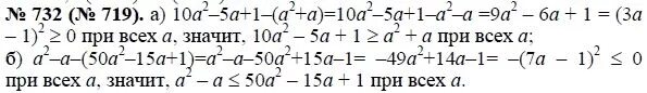
Гдз по алгебре 8 класс макарычев номер 566. алгебра 8 класс номер 566. макарычев 8 класс алгебра гдз 566. алгебра 8 класс никольский номер 566.Гдз по алгебре 8 класс макарычев номер 566. алгебра 8 класс макарычев 566. алгебра 8 класс номер 566. гдз 566 алгебра 8 класс.Алгебра 8 класс 567. гдз по алгебре 8 класс макарычев 567. алгебра 7 класс номер 567. 8 класс номер 567.Алгебра 8 класс номер 566. алгебра 8 класс макарычев номер 566. алгебра 8 класс никольский номер 566. алгебра 8 класс макарычев гдз 566 номер.Алгебра 8 класс макарычев номер 567. алгебра 8 класс макарычев 566. номер 567 8 класс макарычев. алгебра 8 класс макарычев гдз номер 567.Алгебра 8 класс номер 566. алгебра 8 класс макарычев 566. гдз по алгебре 8 класс макарычев номер 566. решебник задач по алгебре 8 класс.Алгебра 8 класс макарычев 976. гдз по алгебре 8 класс макарычев 976. алгебра 8 класс макарычев номер 976. номер 976 по алгебре 8 класс макарычев.Гдз по алгебре 8 класс макарычев 266. номер 266. гдз по алгебре 9 класс макарычев номер 266. алгебра 7 класс номер 266 стр 54.Алгебра 8 класс макарычев 420. гдз макарычев 8 420. гдз по алгебре 8 класс макарычев номер 420. гдз по алгебре страница 100 номер 420 макарычев 8 класс.565 алгебра 8 класс макарычев. гдз по алгебре 8 класс макарычев номер 565. алгебра 8 класс номер 565. гдз по алгебре 8 класс номер 565.Гдз по алгебре 8 класс макарычев упражнение 608. гдз по алгебре 8 класс макарычев номер 440. алгебра 8 класс макарычев 1094. гдз по алгебре 8 класс макарычев номер 540.Алгебра макарычев 8 номер 264. алгебра 8 класс номер 264. алгебра 8 класс макарычев номер 264. гдз по алгебре 8 класс номер 264.566 алгебра 8 класс макарычевАлгебра 7 класс макарычев номер 566. алгебра 7 класс номер 566. гдз 566 алгебра 7 класс. алгебра 8 класс номер 566.Алгебра 7 класс номер 308. алгебра 7 класс макарычев номер 308. алгебра 9 класс номер 308. алгебра номер 336.Алгебра 8 класс макарычев 527. гдз по алгебре 8 класс макарычев номер 527. гдз по алгебре 8 класс номер 527. алгебра 8 класс макарычев номер 532.Алгебра 8 класс номер 625. алгебра 8 класс макарычев номер 625. макарычев 8 класс 624. алгебра 9 класс макарычев номер 625.566 алгебра 8 класс. номер 566 по алгебре 8 класс. 676 алгебра 8 класс. гдз 566 алгебра 8 класс.Алгебра 8 класс макарычев 132. алгебра 8 класс макарычев гдз номер 132. гдз по алгебре 8 класс номер 132. гдз по алгебре макарычев номер 132.Алгебра 7 класс макарычев номер 634. алгебра 9 класс задания. задачи по алгебре 9 класс с решением. алгебра 9 класс примеры.Алгебра 8 класс макарычев номер 152. алгебра 8 класс макарычев гдз 152. алгебра 8 класс макарычев номер 152 по действиям гдз. алгебра 8 класс макарычев страница 40 номер 152.Алгебра 8 класс макарычев номер 745. алгебра 8 класс макарычев 745. алгебра 8 класс номер 745. гдз по алгебре 8 класс макарычев номер 745.Номер 732 алгебра 8 класс макарычев. гдз по алгебре 8 класс макарычев номер 732. гдз алгебра номер 732 8 класс. алгебра 9 класс номер 732.Гдз по алгебре 8 класс никольский. алгебра 8 класс номер 566. алгебра 8 класс никольский номер 566.Алгебра 8 класс номер 1075. алгебра 8 класс номер 1082. номер 1042 по алгебре 8 класс макарычев. алгебра 8 класс 1042 решение.Алгебра 8 класс макарычев 848. алгебра 8 класс макарычев номер 848 решение. алгебра 8 класс макарычев номер 8. гдз 8 класс 8 алгебра макарычев.Гдз по алгебре 8 класс макарычев 1059. алгебра 8 класс макарычев гдз номер 1059. гдз по алгебре 8 класс номер 1059. алгебра 7 класс 1059.Гдз по алгебре 8 класс макарычев 98. гдз 8 класс 8 алгебра макарычев. гдз алгебра 8 класс 98. гдз по алгебре 8 класс макарычев 1.Номер 244 по алгебре 8 класс макарычев. гдз алгебра 8 класс. алгебра 8 класс макарычев гдз. гдз по алгебре 8 класс рабочая.566 алгебра 8 класс макарычевАлгебра 8 класс макарычев номер 126. номер 126 по алгебре 8 класс макарычев. гдз по алгебре 8 класс макарычев 126. гдз по алгебре 8 класс макарычев номер 159.Алгебра 8 класс макарычев 618. гдз по алгебре 8 класс номер 618. алгебра 8 класс 539. гдз по алгебре 7 класс макарычев миндюк нешков суворова номер 539.Алгебра 8 класс макарычев 24. задание сократить дробь 8 класс алгебра. алгебра 8 класс задание 24. гдз по алгебре 8 класс.Гдз алгебра 8 класс макарычев 589. гдз по алгебре 8 класс номер 589. гдз по алгебре 9 класс номер 589. гдз по алгебре 7 класс номер 589.Алгебра 7 класс макарычев 908. алгебра 7 класс макарычев учебник гдз. алгебра 7 класс макарычев темы по порядку. гдз по алгебре 7 класс макарычев учебник.Алгебра 8 класс макарычев номер 1033. алгебра 8 класс макарычев номер 966. гдз по алгебре 8 класс макарычев номер 444. алгебра 8 класс макарычев номер 761.Алгебра 8 класс макарычев 364. алгебра 8 класс номер 364. гдз по алгебре 8 класс номер 364. по алгебре 8 класс макарычев номер 364 страница 88.Гдз по алгебре в тетради. домашнее задание в тетради по алгебре. наименьшее общее кратное 420. алгебра 7 класс записи.Алгебра 8 класс макарычев 155. 168 номер 7 класс. 168 задача 8 класс.Алгебра 8кл рабочая тетрадь миндюк. рабочая тетрадь алгебра макарычев 8 класс учебник. алгебра 8 класс макарычев рабочая тетрадь. алгебра 8 класс рабочая тетрадь миндюк.