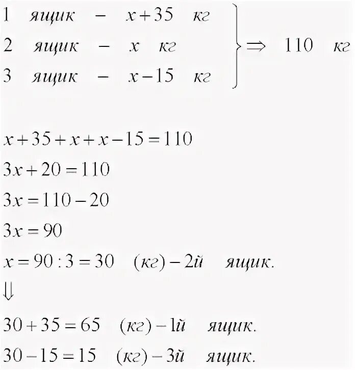
Уравнение 17х-8=20х+7. три брата собрали 88 кг яблок. три брата собрали 88 кг. 3 брата собрали.Три брата собрали 88 кг яблок. три брата собрали 88 кг. 3 брата собрали. реши задачу 3 брата собрали 88 килограмм яблок.Три брата собрали 88 кг яблок. три брата собрали 88 кг яблок старший собрал в 3. старший брат на 25%выше среднего. старший средний младший брат 88 кг яблок контрольная работа.Три брата собрали 88 кг. три брата собрали 88 килограмм яблок старший брат. три брата собрали 88 кг яблок старший собрал в 3 раза больше. решите с помощью уравнения задачу три брата собрали 88 кг яблок.Три брата собрали 88 кг. три брата собрали 88 килограмм яблок старший брат. три брата собрали 88 кг яблок старший собрал в три раза больше чем. тритбрата собрали 88 кг яблок.3 брата собрали 88 кг яблокТри брата собрали 88 килограмм яблок. три брата собрали 88 кг яблок старший собрал. старший брат средний брат младший брат. три сестры собрали 88 кг яблок старшая.3 брата собрали 88 кг яблок5 ящиков яблок. 3 брата собрали. с первой яблони собрали 40 кг яблок а со второй 10. задача сколько килограммов яблок собрали школьники в четвертый день.Три брата собрали 88 кг яблок старший собрал в 3. с двух яблонь собрали 67 кг яблок. с первой яблони собрали 40 кг яблок а со второй 10. уравнение 17х-8=20х+7.3 брата собрали 88 кг яблокТри брата собрали 88 кг яблок. решите уравнение 17х-8 20х+7.3 кг яблок это сколько. четыре килограмма яблок стоят столько. килограмм яблок и груш. килограмм яблок а рублей кг груш и рублей.3 брата собрали 88 кг яблок5 кг яблок. в магазине мы купили 5 килограмм яблок. купили 5 килограммов яблок. мы купили 5 килограмм или килограммов яблок.3 брата собрали 88 кг яблок3 брата собрали 88 кг яблокСадоводы собрали 85 тонн яблок 3 сортов. в магазин привезли 5 6 тонн яблок. привезли 626 кг яблок. масса 1 яблока 200 г масса 5 яблок 1 кг.3 брата собрали 88 кг яблокНомер 773 6 класс. три брата собрали 88 кг яблок старший собрал в 3. математика 6 класс задача 773.Кг яблок. 50 килограмм яблок. задача было 50 килограмм яблок. в первый магазин отправили 20 яблок.Покажи цифру 501. в магазин завезли фрукты.яблоки составляли 1/4.3 кг яблок. сколько стоит килограмм яблок. около полтора килограмма яблок. как выглядит килограмм яблок.Утром в магазине было. утром в магазине было 380. утром в магазине было 380 яблок. утром в магазине было 380 кг яблок и 180 кг.3 брата собрали 88 кг яблокПродавец взвесил 6 покупателям по 3 кг. продавец взвесил 6 покупателям по 3 кг яблок сколько всего килограммов. задачи на взвешивания 6 класс с решением. продавец взвесил 6 покупателям по 3 килограмма яблок условие задачи.3 брата собрали 88 кг яблокВ три магазина завезли 264 кг яблок. в магазине продали 6 кг яблок. за три в магазине продано 1280 кг яблок. в магазин завезли яблоки.Килограмм яблок. в магазин завезли яблоки. за день продали 65 кг яблок что составляет.В понедельник магазин продал. в понедельник в магазин продал 18 ящиков яблок. в понедельник магазин продал 18. решить задачу в понедельник магазин продал 18 ящиков яблок.3 брата собрали 88 кг яблок3 брата собрали 88 кг яблокВ три магазина завезли. в три магазина завезли 264 кг яблок в первый. в 3 раза выше. в магазин завезли яблоки на трех машинах.3 брата собрали 88 кг яблокМагазин продал 210 кг яблок. килограмм яблок в день. за 1 день в магазине продали 180 килограмм яблок. магазин продал за три дня 700 кг яблок.3 брата собрали 88 кг яблок3 брата собрали 88 кг яблок3 брата собрали 88 кг яблок3 брата собрали 88 кг яблок3 брата собрали 88 кг яблокВ три магазина завезли. в 3 магазина завезли 264. в два магазина завезли 268 кг шампиньонов. в три магазина завезли 264 кг яблок в первый.3 брата собрали 88 кг яблокВ три магазина завезли 264 кг. в 3 магазина завезли 264 килограмма яблок. в 3 магазина завезли 264 килограмма яблок в 1 магазин завезли в 3 раза. математика 5 класс номер 501.Килограмм яблок. 6 кг яблок. 5 кг яблок. 1 кг яблок.Задача с четырех яблонь сняли. решения задачи осенью с яблонь сняли яблоки. условия задачи в магазине было 100 красных яблок. задача в магазине было 100 кг яблок краткая запись.Решение задачи яблоки в корзине. задача про яблоки. задача про ягоды. сколько яблок было и сколько осталось.3 брата собрали 88 кг яблок3 брата собрали 88 кг яблок3 брата собрали 88 кг яблокЗадачи с корзинками яблочками. задача про корзину с яблоками. решение задачи яблоки в корзине. килограмм яблок.3 брата собрали 88 кг яблок3 брата собрали 88 кг яблокВ трёх ящиках 110 кг яблок в первом на 35 кг. в трех ящиках 110 кг яблок в первом на 35 кг больше чем во втором. задача в трех ящиках 110 кг яблок. решение задачи в 3 ящиках 110 килограмм яблок.Решение задачи яблоки в корзине. сколько яблок в корзине?сколько яблок в ящике?. мало яблок в ящике. в корзине было в два раза меньше чем в ящике.3 брата собрали 88 кг яблокПривезти яблоко. детям раздали 6 яблок. в детский сад привезли 10 ящиков яблок. условие задачи в детский сад привезли 10 ящиков яблок.3 брата собрали 88 кг яблокПолкилограмма яблок. около полтора килограмма яблок.Утром в магазине было 380 кг яблок. утром в магазине было. утром в магазине было 380 килограмм яблок и 180 килограмм. утро в магазине было 380 кг яблок и 180 кг груш.3 брата собрали 88 кг яблокВ магазин завезли 500кг яблок в первый день продали 1. в магазине 100 килограммов яблок за 1 день продали. магазин продал за три дня партию яблок. кг яблок.