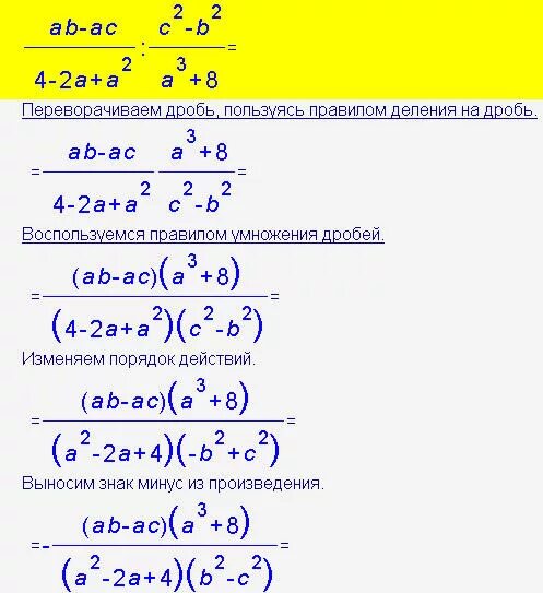
Дробь 13. треть круга. треть в дроби. дроби картинки.3 5 дробь символОдна вторая. значок дроби. символ дроби 12. дробь 12 картинка.Дробь 12. дробь одна вторая. знак дроби. первые дроби.Дробь одна вторая. дробь 12. дробь одна вторая картинка. дроби 1 12.Математические знаки. дробь математическая. символ математики. дроби без фона.Дробь 35. приведи дробь к заданным. приведи дробь к заданным числителям 35=6. приведите дробь к заданным числителям.Дроби. обыкновенные дроби. дроби обыкновенная дробь. доли обыкновенные дроби.Дробь одна вторая. дробь 12. иконки цифры. знак дроби.Преобразование дробей. знак перед дробью. как преобразовать дробь. знак перед дробью изменился на противоположный.1,5 в дроби. дробь 12 картинка. дробь одна пятая. дробь 15 картинка.Знак дроби. как поменять знак в дроби. знак дроби совпадает со знаком произведения. значок дробь кривая.Сравнение дробей. сравнить дроби. как сравнивать дроби. сравните 5,6 и 1,2 дробь.Знак дроби. сократить дробь квадратного трехчлена. сократи дробь с квадратами. сократите дробь 2x2-9x-54x 2-1.3 5 дробь символДробь 14. дробь две четвёртых. дробь 3 четвертых. дробь одна четвертая.Знак дроби. "обратная косая черта". дробь символ. косая черта символ.Знак деления в дроби. делитель и знаменатель в дроби. как пишется дробь. черта дроби знак.Знак дроби. дробь черточка. знак деления в дроби. дробная черта это знак деления.3 5 дробь символСократите дробь 222. сократив полученную дробь. ks-ktks сократить дробь. сократи дробь ( вводи в английской раскладке)..3 5 дробь символ3 5 дробь символЗнак дробь 12. дробный знак. обозначение дробей в разных странах. дробь символ.3 5 дробь символ3 5 дробь символ3 5 дробь символ3 5 дробь символ15 дробь символ.3 5 дробь символСократите дробь x2-x-22-x. сократить дробь 2x^2+3. условие задания сократи дробь:. сократить дробь x2-5x+6x2-4x+4.3 5 дробь символЧерта дроби. знак дроби. знак деления в дроби. дробь черточка.3 5 дробь символМинус перед дробью. знак минус перед дробью. минус перед дробью меняет знаки. если минус перед дробью.Сократите дробь : x−2 x 2 −5x+6. сократите дробь 6x2x2-6x. x2-93x2+x3 сократите дробь. сократи дробь x + 2 в..Сократите дробь x2+2x-35. 1. сократите дробь x2+27x. сократите дробь х2+2х-15х-3. если сократить дробь на.15 дробь символ.Как написать дробь в ворде. как поставить дробь на компьютере. как пишется дробь на клавиатуре. значок дроби в ворде.Как перевернуть дробь. как перевернуть дробь в уравнении. перевернуть дробь в степени. правила переворачивания дробей.