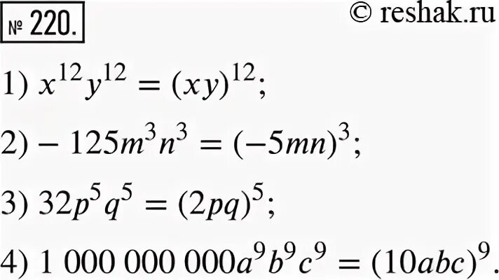
220 представьте в виде степени выражениеПредставить выражение в виде степени. представьте в виде степени выражение. представление в виде степени. представление выражения в виде степени.220 представьте в виде степени выражение220 представьте в виде степени выражение220 представьте в виде степени выражение220 представьте в виде степени выражение220 представьте в виде степени выражение220 представьте в виде степени выражение220 представьте в виде степени выражениеПредставить выражение в степени в виде 3. представить выражение -2x в степени -5. представь в виде степени выражение (x степени 2) степени 5 : x. представьте в виде степени вариант 1.220 представьте в виде степени выражение220 представьте в виде степени выражение220 представьте в виде степени выражение220 представьте в виде степени выражениеПредставьте в виде степени выражение х12у12. представьте в виде степени выражение x12y12. представьте в виде степени выражение x12y12 -125m3n3. представьте в виде степени выражение x7 x5 ответ.Представление выражения в виде степени. представьте выражение в виде степени с основанием 5. представить выражение в виде степени с основанием 2. представьте в виде степени с основанием х выражение -х5 4.220 представьте в виде степени выражение220 представьте в виде степени выражениеПредставьте в виде степени выражение. выражение в виде степени произведения. представить выражение в виде степени произведения. представьте выражение в виде степени ((x^6)^5)^2.220 представьте в виде степени выражение220 представьте в виде степени выражение220 представьте в виде степени выражениеПредставьте в виде степени выражение: х⁸*х². представьте в виде степени х8 х3. представьте в виде степени выражения 1) 6х * 8х. представьте в виде степени выражение х6 х8.Представьте в виде степени выражение -a в 5 степени. представьте в виде степени выражение х12у12. представьте в виде степени выражения х 5 х 12. представьте в виде степени выражение y9 y6.Представьте выражение в виде степени с основанием x. представьте выражение в виде степени x5 x8. представьте выражение x-10/x4 x-5 в виде степени с основанием х. представьте выражение 1/x-4 1/x5 в виде степени с основанием х.Представьте в виде степени выражение. представь выражение в виде степени. представьте выражение в виде степени числа. представить число в виде степени.220 представьте в виде степени выражениеПредставьте в виде степени выражения х 5 х 12. представьте в виде степени выражение am a4. представьте в виде степени выражения -n в 11 степени. представьте в виде степени выражение 0 5 8 0 25.Представить в виде степени выражение 7 класс. представьте в виде степени выражение -b 7. представить выражение в виде степени 7 класс алгебра. представьте в виде степени число 0.001.Выражение в виде степени с рациональным показателем. представьте в виде степени с рациональным показателем. представьте выражение в виде степени с рациональным показателем. представь выражение в виде степени с рациональным показателем.Выражение в виде степени с основанием. запишите выражение в виде степени. представить выражение в виде степени с основанием а. выражение в виде степени с основанием 2.Представить в виде степени выражение 7 класс. представьте в виде степени выражение формулы. представьте выражение в виде степени y. представьте в виде степени выражение: (а8)4.Представьте в виде степени с основанием. представьте в виде степени выражение. представить выражение в виде степени с основанием а. представьте в виде степени с основанием а выражение.Представьте в виде степени с основанием. представьте выражение в виде степени с основанием х. представить в виде степени с основанием. выражение в виде степени с основанием.Представьте выражение в виде произведения степеней. представьте в виде произведения выражение. представьте в виде степени произведение. представить выражение в виде степени произведения.Представьте виде степени с целым показателем. представьте в виде степени с показателем 5. представьте выражение в виде степени с показателем 2. представьте выражение в виде степени с показателем 3.220 представьте в виде степени выражениеПредставьте в виде степени с основанием а выражение. представить выражение в виде степени с основанием а. представить выражение в виде степени произведения. представьте выражение в виде произведения степеней.Представить в виде степени произведения. представь произведение в виде степени. 16 степень в степени. представьте как степень степени.Представить в виде степени с основанием. представьте в виде степени выражение. представить выражение в виде степени с основанием а. представьте в виде степени с основанием а выражение.220 представьте в виде степени выражение220 представьте в виде степени выражениеПредставить в виде степени с основанием х. представьте выражение в виде степени с основанием x. выражение в виде степени с основанием х. представьте в виде степени с основанием x выражение x5.220 представьте в виде степени выражениеПредставьте в виде степени выражение. представить выражение в виде степени. представить в виде степени с основанием. представьте выражение в виде степени с основанием x.220 представьте в виде степени выражение220 представьте в виде степени выражениеПредставить выражение в виде степени произведения. представьте выражение в виде произведения степеней. представь выражение в виде степени произведения. представь в виде произведения двух степеней.Представьте в виде степени с основанием а выражение. представьте выражение в виде степени с основанием x. как представить выражение в виде степени с основанием. выражения в виде степени с основанием x.Выражения со степенями 7 класс. представить выражение в виде степени и вычислить его значение. найдите значение выражения со степенями. представьте выражение в виде степени 7 класс.Представьте выражение в виде степени и x7. алгебра 8 класс представьте в виде степени выражения. представьте выражение в виде степени (m6)-2:. представьте в виде степени выражение х12у12.Представьте выражение в виде степени z10 z. виде степени выражения решение. представьте в виде степени примеры.220 представьте в виде степени выражениеЗапишите выражение в виде степени. как записать выражение в виде степени. запишите выражение в виде степени с показателем 2. запишите в виде степени с показателем 2.Представьте выражение в виде произведения степеней. представить выражение в виде степени произведения. представьте в виде степени произведение. представьте степень в виде произведения степеней.220 представьте в виде степени выражение220 представьте в виде степени выражениеПредставление выражения в виде степени. представьте в виде степени с основанием а выражение. представить выражение в виде степени с основанием а. представьте выражение в виде степени с основанием 5.Представьте в виде степени выражение. представьте в виде степени с основанием n выражение. представьте в виде степени выражение а5 а8. представьте в виде степени выражения 2.1-2.2.220 представьте в виде степени выражениеПредставьте в виде степени. представить выражение в виде степени. представьте в виде степени выражение. предоставьте в виде степени.220 представьте в виде степени выражениеПредставить в виде степени. представьте в виде степени выражение. представить выражение в виде степени. представьтевтвиде степени выражение.Представьте виде степени с целым показателем. представьте в виде степени выражение( 1/3)9*9*9. представьте в виде степени выражения 9 -9/3:9 2/3. представьте выражение в виде степени с показателем 2.Представьте в виде степени с основанием 3. представьте выражение в виде степени с основанием 3. представить выражение в виде степени с основанием 3. представь 9 в виде степени с основанием 3..Представьте в виде степени. представьте число в виде степени. представьте в виде степени произведение. представьте в виде степени с основанием 5.Представьте в виде степени с основанием а выражение а6 2. представьте выражение в виде степени с основанием 5. (-x5)4*(-x представьте в виде степени с основанием x выражение. представьте в виде степени с основанием а выражение а7 а-5.Представьте в виде степени выражение х12у12 -125м3н3. t29:t7 в виде степени. реши по фотографии в виде степени. запиши в виде степени выражение t16 t8.220 представьте в виде степени выражение220 представьте в виде степени выражение220 представьте в виде степени выражениеПредставьте в виде степени выражение 16a2b2. представьте выражение в виде степени у3*у4. 16 представить в виде степени. представьте в виде степени x8 x3.Представить выражение в виде степени. представьте в виде степени выражение. представьте выражение в виде степени с показателем 2. представить в виде степени примеры.220 представьте в виде степени выражениеПредставьте в виде степени выражение. представить выражение в виде степени. представление в виде степени. представь выражение в виде степени.Представьте в виде степени выражение х12у12 -125м3н3. представьте в виде степени выражение икс 12 игрек в 12 степени. представьте в виде степени выражение т-27/125 p³q³. представьте в виде степени выражение 35+35+35 228 номер.220 представьте в виде степени выражениеПредставьте в виде степени выражение х12у12 -125м3н3. представьте в виде степени выражение x12y12. представьте в виде степени выражение am a4. представьте в виде степени выражение 16x4y4.220 представьте в виде степени выражениеПредставьте выражение в виде степени с основанием 3. в виде степени с основанием 4. представьте в виде степени с основанием а выражение ((а3) 2) 5. представьте выражение в виде степени с основанием 5.220 представьте в виде степени выражениеПредставьте в виде одночлена стандартного вида. представьте выражение в виде стандартного одночлена. представить выражение в виде квадрата одночлена. представить выражение в виде одночлена стандартного вида.Представьте в виде степени выражение 3+3+3. представьте в виде степени выражения x*x ; x:x. преобразовать в виде степени выражение. вычислите 2 3 в 3 степени.Свойства степеней тренажер. представьте в виде степени частное. упростите в виде степени. вычислить или представить в виде степени.Предоставить в виде степени. предоставьте в виде степени выражение. как представить в виде степени выражение 7 класс алгебра примеры. представьте в виде степени выражение x в 10 :x в 4.