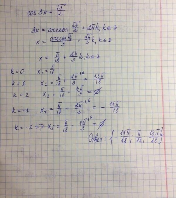
Cosx равно корень из 3 на 2. решите уравнение cosx корень из 32. cos x корень 32. cos x корень из 3 2 =0.2корня из3. корень из 3. 2 корней из 3. корень из трех на два.Cos x корень из 3 2. cosx корень из 3 на 2. cos корень из 3 на 2. cos 2x корень из 32.Sin x корень из 3 2. sinx корень 32. sin 3x 2 корень из 2 2. sinx корень из 3 на 2.Решите уравнение cosx корень из 32. cosx больше или равно корень из 32. решите неравенство cos x больше или равно корень из 3 на 2. решить неравенство cosx<корень из 32.Решите неравенство sin корень 2 на 2. решите неравенство sin x - корень 2. решить неравенство sin x корень из 22. решения неравенство sinx <корень 2.Cosx корень из 3 на 2. cos корень из 3 на 2. косинус х корень из 32. косинус равен корень из 3 на 2.Cos3x больше корень из 32. cos3x корень из 32 -п п. cos(3-2x)=корень из 32. cos 3x корень 32.2 корень из 3 решениеCosx = корень 2. cos x корень 32. cosx>sqrt32 решить неравенство. cosx = -cos корень из 32.Корень 3 степени. 9 корень из 3. корень из 3 в 3 степени. корень из корня 3 степени.Sin x корень 32. sin корень 32. sin x корень 32 решение. sin 3x 2 корень из 2 2.Sinx корень из 3 на 2 решение. решить уравнение sin x корень из 3 на 2. решите уравнение sin x корень из 22. sin x корень 32.Корень 2 + корень 2. 3 корня из 2 плюс 3 корня из 2. 2корня из3. корень из 3 на 2.1 деленная на корень из 2 плюс корень из 3. корень из 3 делить на корень из 2. 3 корня из 2 плюс 3 корня из 2. корень из 3 деленное на 2 плюс корень из 3 деленное на 2.2 корень из 3 решениеSinx корень из 3 на 2. решите уравнение sinx корень из 32. sin x корень из 3 2. 2sinx-корень из 3 0.Решите неравенство sinx<корень 22. sin x корень 22 решение. sinx корень из 2 на 2. sinx корень 22.Sinx корень из 2 на 2. sinx 3 корень из 32. sinx корень из 3 на 2. sin x корень из 3 2.2 корень из 3 решение(x^4+1)x^2+x корень из x2. корень из 2-4x+3x2 = 2x-3. x2-2x+корень из 2. x 2 2x корень из 2-x корень из 2-x +3.3 корня из 2 плюс 3 корня из 2. 2 корня из 2 +3 корня из 2. 2 2 корень из 3. корень из 3 на 2.Решение неравенства 2cos 2x + корень из 3. решите неравенство cosx больше или равно корень из 22. sinx больше или равно корень из 32. cos x меньше или равно корень из 22.Решите неравенство cosx<корень 22. 2cos2x корень из 2. cosx корень из 2 на 2. cos x корень из 2 2.Cosx=√22. 2cos2x. cos x 22 решение. cosx корень 22.2 корень из 3 решениеРешить неравенство cosx<корень из 32. cos x корень из 3 2. cosx корень из 3 на 3. cosx корень из 3 на 2.Решить уравнение sin x cos x = корень из 2. решите уравнение sin 2x =rjhtym bp 32. решите уравнения cos x корень из 22. sin2x корень из 3 cos2x.Решить уравнение cosx корень 32. косинус больше корень из 3 на 2. решение тригонометрических неравенств -cos x > корень из 32. cosx корень из 3 на 2 решить.2 корень из 3 решениеCosx больше или равно корень из 22 окружность. решите уравнение sinx корень из 32. 2sinx равно корень из 3. sinx равен корень из 32.Cos 3x больше или равно корень 32. sinx корень 32. sin x корень 32 решение. sinx меньше или равно корень из 32.Cos x корень 22 решение тригонометрических уравнений. sin 2x корень из 3 cos x. sin2x+корень из 5 cosx=0. решения уравнения принадлежащие отрезку.Как решать уравнения под корнем. как решать уравнения с квадратным корнем. решение уравнения с 1 корнем. решение уравнений с квадратным корнем.Найдите углы ромба с диагоналями 2 корень из 3 и 2. найдите углы ромба если его диагонали равны 2 корень из 3 и 2. диагональ ромба равны 2 и 2 корень из 3. углы ромба с диагоналями два корня из трёх и два.Расположите в порядке возрастания числа корень из 3. расположите в порядке возрастания числа корень из 3 в 3 степени. расположите числа в порядке возрастания корень 3. расположите числа в порядке возрастания корень 3 корень 3 степени из 4.Корни принадлежащие промежутку (-п;п2). найдите все корни этого уравнения принадлежащие отрезку 3п 9п2. sinx=корень из 32 в промежутке [-3п2;п]. корни принадлежащие отрезку -3п -3п2.Cos x корень 32. cosx корень из 3 на 2. решите уравнение cosx корень из 32. ctgx корень из 3.Cos x корень из 3 2. cos 2 3x корень 22. решите уравнение cos2x корень из 32. cos 2x корень из 32.Cos t корень из 32. cost корень из 32. sin t корень 22. cos t корень из 22.