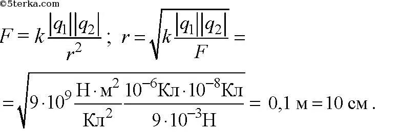
Нкл в кл перевести. задачи на закон кулона с решением 10 класс. нкл физика. кулон задачи.10 нкл в кл10 нкл в клНкл в кл. нанокулон. нкл в кулон. нкл в кл перевести.10 нкл в клНкл в кл. нкл в кл перевести. нанокулоны. нкл физика.Нкл в кл. нкл в кл перевести. нкл в физике.10 нкл в кл10 нкл в клНкл. нанокулон. нкл в кл перевести. нкл физика.10 нкл в кл10 нкл в кл10 нкл в кл0.01 мккл в кл. мккл в кл перевести. мккл в нкл. кулоны перевести в микрокулоны.Нкл в кулон. нанокулон микрокулон. нанокулон в кулон. нанокулон в кулон перевести.10 нкл в кл10 нкл в кл10 нкл в кл10 нкл в клНайти напряженность поля. нацти напряжённость в точке. найти напряженность поля заряда. в некоторой точке поля на заряд 2 нкл действует сила 0.4 мкн.10 нкл в кл10 нкл в клНкл в кл. нкл в физике. нкл в кулон. нкл в кл перевести.С какой силой взаимодействуют. сила взаимодействия двух зарядов по 10 нкл.10 нкл в кл10 нкл в кл10 нкл в кл10 нкл в кл10 нкл в кл10 нкл в кл10 нкл в кл10 нкл в кл10 нкл в кл10 нкл в кл10 нкл в кл10 нкл в кл10 нкл в кл10 нкл в кл10 нкл в кл10 нкл в кл10 нкл в кл10 нкл в кл10 нкл в кл10 нкл в кл10 нкл в кл10 нкл в клВ некоторой точке поля на заряд 2 нкл действует сила 0.4. в некоторой точке поля на заряд 2 нкл действует сила. напряженность поля в некоторой точке. найти напряжённость поля в некоторой точке.10 нкл в клНа каком расстоянии друг от друга точечные заряды 2 нкл и 5 нкл. заряды 5 и -2 нкл.10 нкл в кл10 нкл в клВ однородном электрическом поле напряженностью 60 кв/м. 5 нкл в кл. в однородном электрическом поле напряженностью 60 кв/м переместили. нкл/м в кл/м.10 нкл в кл10 нкл в кл10 нкл в клЧетыре одинаковых точечных заряда. четыре одинаковых точечных заряда по 10 нкл. три одинаковых точечных заряда 1,73. три одинаковых точечных заряда 20 нкл расположены в вершинах.10 нкл в кл10 нкл в кл10 нкл в кл10 нкл в клШарик массой м = 40 мг имеющий положительный заряд. шарик массой 40мг и имеющий положительный заряд 1нкл. шарик массой m и зарядом q движется. шарик массой m 10 мг.Два шарика с зарядами q 6.66. металлический шар с зарядом 6 нкл. какую работу нужно совершить чтобы сблизить заряды. нкл.10 нкл в клЭлектрическое поле создается сферой радиусом 10см. шар радиуса 10см равномерно заряжен с объемной плотностью 10 нкл. электростатическое поле создается шаром. электростатическое поле создается сферой радиусом 6 см.Сила взаимодействия двух зарядов 3 10. r 3 см q1 q2 10нкл q2. сила взаимодействия зарядов на расстоянии 3см. q1 9 нкл q2 10 нкл r 4 см.На каком расстоянии друг от друга заряды 1 мккл. мккл в нкл. на каком расстоянии друг от друга заряды 1мккл и 10нкл взаимодействуют. q¹ 1 мккл q2 10нкл.10 нкл в клОдинаковые по модулю но разные по знаку заряды 18нкл расположены. одинаковые по модулю но разные по заряду 18 нкл. номер 878 физика.На каком расстоянии друг от друга заряды 1 мккл и 10 нкл. на каком расстоянии друг от друга заряды 1мккл и 10нкл взаимодействуют. на каком расстоянии заряды 1мккл и 10нкл. на каком расстоянии друг заряды 1 мккл и 10 нкл взаимодействуют 9 мн.По тонкому кольцу радиусом 10 равномерно распределен заряд. тонкое кольцо несет распределенный заряд q=0,2мккл.. по тонкому кольцу радиусом 10 см равномерно распределен заряд 20 нкл. по тонкому кольцу радиуса 60 мм равномерно распределен заряд.Чему равна напряженность поля на расстоянии 1м. какова напряженность электрического поля на расстоянии 1 метр. какая сила действует в этой точке на тело, обладающее зарядом — 10 нкл?.На каком расстоянии друг от друга заряды 1мккл и 10нкл взаимодействуют. на каком расстоянии друг заряды 1 мккл и 10 нкл взаимодействуют 9 мн. на каком расстоянии друг от друга заряды. на каком расстоянии друг от друга заряда 10 мккл и - 10нкл.10 нкл в клЭлектрическое поле создано точечным положительным зарядом q1 6 нкл. q1=+5нкл q2=-3нкл.10 нкл в кл10 нкл в кл10 нкл в кл10 нкл в кл10 нкл в кл