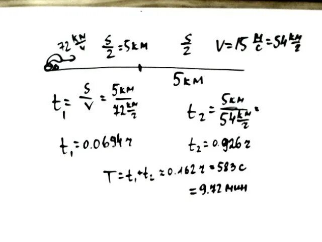
Первую половину пути автомобиль. первую половину пути автомобиль проехал со скоростью. первую половину пути автомобиль проехал со скоростью 60 км. первую половину пути автомобиль проехал со скоростью 60 км ч вторую 90.1 половину пути автомобильПервую половину пути автомобиль. первую половину пути автомобиль проехал со скоростью. автомобиль проехал 1 половину пути со скоростью. найдите среднюю скорость автомобиля на протяжении всего.Первую половину времени проехал. первая половина времени. первую половину пути автомобиль ехал о скоростью 72 км ч. первую половину пути автомобиль проехал со скоростью 54.1 половину пути автомобиль1 половину пути автомобильПервую половину пути автомобиль проехал со скоростью. первую половину трассы автомобиль проехал со скоростью 69. первую половину пути автомобиль проехал со скоростью 84 км ч. первую половину пути автомобиль проехал со скоростью 34км ч а вторую 99.Первую половину пути. автомобиль двигался со среднюю скорость. автомобиль со скоростью 80 км ч. средняя скорость на половине пути.Первую половину пути автомобиль. средняя скорость на половине пути. первую половину пути автомобиль проехал. первую половину пути автомобиль проехал со скоростью.1 половину пути автомобильПервую половину пути автомобиль проехал со скоростью 60 км ч вторую 90. первую половину пути автомобиль проехал со скоростью 84. реши задачу 1 половину пути автобус проехал со скоростью. автомобиль проехал s км со скоростью 65.Первую половину пути автомобиль. первую половину пути автомобиль проехал со скоростью. среднюю скорость автомобиля на протяжении. средняя скорость автомобиля на всем пути.Первую половину своего пути автомобиль двигался со скоростью 80. первую половину времени проехал. первую половину пути автомобиль проехал со скоростью 34 км в час. первую половину пути автомобиль проехал со скоростью 54.Первую половину пути автомобиль проехал. автомобиль проехал 1 половину пути со скоростью. первую часть пути автомобиль проехал со скоростью. первую половину времени проехал.Первую половину пути автомобиль проехал. первую половину пути автомобиль проехал со скоростью. первую половину пути. первую часть пути автомобиль проехал со скоростью.1 половину пути автомобильАвтомобиль первую половину времени ехал со скоростью 80. автомобиль двигался половину времени со скоростью. первая половина времени. первую половину своего пути автомобиль двигался со скоростью 80.Первую половину пути автомобиль проехал со скоростью 54 а вторую 90.Первую половину пути автомобиль проехал со скоростью. первую половину времени проехал. первую половину пути автомобиль проехал со скоростью 54. первую половину пути.Первую половину пути автомобиль проехал со скоростью 54. первую половину пути автомобиль. первая половина пути автомобиль проехал со скоростью 34 а вторую 51. первую половину времени и первую половину пути.Первую половину пути автомобиль проехал со скоростью 54 км/ч. автомобиль движется со скоростью 54 км в час. первую половину пути автомобиль проехал со скоростью 36 а вторую 99. первую половину пути автомобиль проехал со скоростью 84.1 половину пути автомобиль1 половину пути автомобильПервую половину пути автомобиль. первая половина времени. автомобиль двигался половину времени со скоростью. что такое третью часть пути.Первую половину пути проехал. задача на нахождение средней скорости по физике 10. автомобиль проехал. задача на первую половину пути со скоростью.Средняя скорость автомобиля на протяжении всего пути. средняя скорость автомобиля. средняя скорость матобиля. нахождение средней скорости автомобиля.Автомобиль проехал 1 половину пути со скоростью. первую половину пути. средняя скорость на половине пути. средняя скорость на первой половине пути.Автомобиль движущийся со скоростью 36 км ч. автомобиль 2 часа двигался со скоростью 15. автомобиль первую половину пути двигался со скоростью 15 м с. при средней скорости 36 км/ч.1 половину пути автомобиль1 половину пути автомобиль1 половину пути автомобильАвтомобиль проехал 1 половину пути со скоростью. задачи по физике на среднюю скорость. автомобиль проехал первую половину пути со скоростью 20 км. задачи на нахождение средней скорости по физике.Задачи на среднюю скорость. задача про среднюю скорость автомобиля. первую половину пути автомобиль. первую половину пути автомобиль проехал.Мотоциклист едет первую половину пути со скоростью 90 км/ч. скорость 90 км/ч. мотоцикл едет первую половину пути со скоростью 90 км/ч а вторую 70 км ч. автомобиль проходит первую половину пути со скоростью 70 км/ч.Первую половину своего пути автомобиль двигался со скоростью 80. автомобиль двигался половину времени со скоростью. первая половина времени. первую половину времени и первую половину пути.Первую половину своего пути автомобиль двигался со скоростью 80. автомобиль первую половину времени ехал со скоростью 80. автомобиль двигался половину времени со скоростью. первую половину пути автомобиль движется со скоростью 80км ч.1 половину пути автомобильПервую половину пути автомобиль ехал со скоростью 72. первую половину пути автомобиль ехал о скоростью 72 км ч.1 половину пути автомобильАвтомобиль проехал 1 половину пути со скоростью. средняя скорость автомобиля. задачи на среднюю скорость. задача на расчет средней скорости.